Seneste opdatering :
18/03/2026
anticancer medicin   Dacarbazine  
Injektion
Stabilitet i (vandige) opløsninger Stabilitet i blandinger Faktorer der påvirker stabiliteten Kompatibilitet Administrationsvej Bibliografi pdf
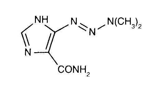
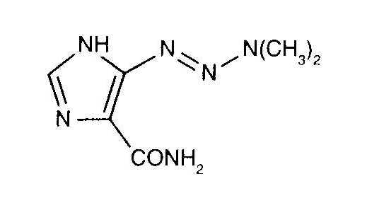
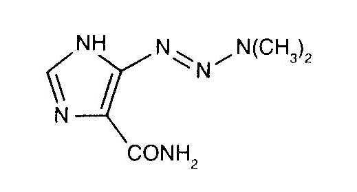
   Kemisk struktur  

Handelsnavn   Handelsnavn     

Handel navne er vejledende og hjælpestoffer sammensætning kan være forskellig afhængigt af landet og laboratorier

Acocarb Mexico
Celdaz Indien, Marokko
Dabaz Brasilien, Indien
Dacarba Indien
Dacarbazin Malaysia, Polen, Ungarn, Østrig
Dacarbazina Argentina, Brasilien, Chile, Colombia, Ecuador, Italien, Marokko, Mexico, Spanien
Dacarbazine Australien, Belgien, Canada, Danmark, Indien, Iran, Irland, New Zealand, Storbritanien, Sverige, USA
Dacarex Indien
Dacarin Indien
Dacarpalm Marokko
Dacarzine Indien
Dacin Schweiz, Slovenien
Dacmed Indien
Daracina Colombia
Deticene Frankrig, Grækenland, Holland, Portugal, Saudi-Arabien
Detimedac Colombia, Rumænien, Tunesien, Tyskland
DTIC New Zealand, USA, Østrig
Fauldetic Portugal
Oncocarbil Argentina, Ecuador, Marokko
Tiferomed Mexico
Administrationsvej   Administrationsvej :Dacarbazine     
Voie
Intravenøs infusion
Intraarteriel

  Mentions Légales