Laatste update :
18/03/2026
geneesmiddel tegen kanker   Dacarbazine  
injecteerbaar geneesmiddel
Stabiliteit in oplossing Stabiliteit in mengsels Factoren die de stabiliteit beïnvloeden Verenigbaarheden Toedieningswijze Literatuur pdf
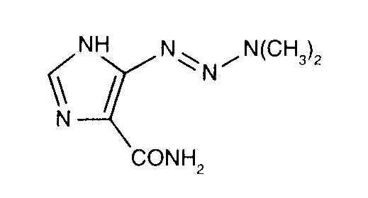
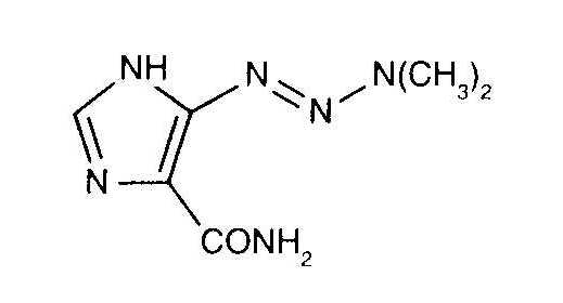
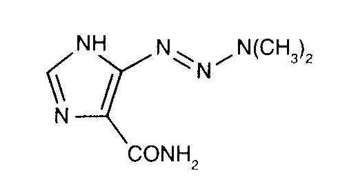
   Molecuulstructuur  

Merknamen in verschillende landen   Merknamen in verschillende landen     

Handelsnamen zijn slechts een indicatie; de samenstelling van hulpstoffen kan per land variëren afhankelijk van de fabrikant

Acocarb Mexico
Celdaz Indië, Peru
Dabaz Brazilië, Indië
Dacarba Indië
Dacarbazin Hongarije, Maleisië, Oostenrijk, Polen
Dacarbazina Argentinië, Brazilië, Chili, Colombia, Ecuador, Italië, Mexico, Peru, Spanje
Dacarbazine Australië, België, Canada, Denemarken, Groot Britannië, Ierland, Indië, Iran, nieuw Zeeland, USA, Zweden
Dacarex Indië
Dacarin Indië
Dacarpalm Peru
Dacarzine Indië
Dacin Slovenië, Zwitserland
Dacmed Indië
Daracina Colombia
Deticene Frankrijk, Griekenland, Nederland, Portugal, Saudi-Arabië
Detimedac Colombia, Duitsland, Roemenië, Tunisie
DTIC nieuw Zeeland, Oostenrijk, USA
Fauldetic Portugal
Oncocarbil Argentinië, Ecuador, Peru
Tiferomed Mexico
Toedieningswijze   Toedieningswijze :Dacarbazine     
Voie
Intraveneus infuus
Intra-arterieel

  Mentions Légales