Poslední aktualizace :
18/03/2026
rakovina drog   Dacarbazine  
injekce
Stabilita roztoků Stabilita směsí Faktory ovlivňující stabilitu Kompatibilita Způsoby aplikace Odkazy pdf
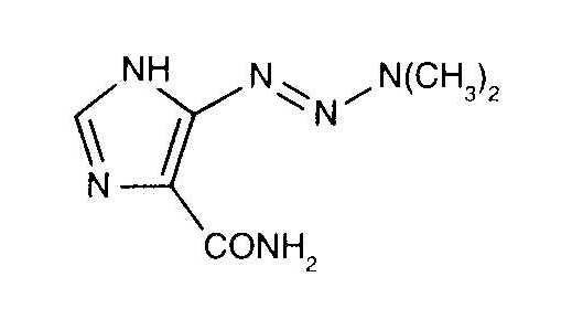
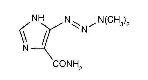
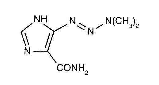
   Chemický vzorec  

Obchodní název   Obchodní název     

Trade names are indicative and excipients composition can be different depending on the country and manufacturers

Acocarb Mexiko
Celdaz Indie, Peru
Dabaz BrazÌlie, Indie
Dacarba Indie
Dacarbazin Malajsie, MaÔarsko, Polsko, Rakousko
Dacarbazina äpanÏlsko, Argentina, BrazÌlie, Chile, Ekvádor, Itálie, Kolumbie, Mexiko, Peru
Dacarbazine Austrálie, Belgie, Dánsko, Indie, Írán, Irsko, Kanada, nový Zéland, Švédsko, USA, Velká Británie
Dacarex Indie
Dacarin Indie
Dacarpalm Peru
Dacarzine Indie
Dacin Slovinsko, Švýcarsko
Dacmed Indie
Daracina Kolumbie
Deticene Francie, Nizozemsko, Portugalsko, Saúdská Arábie, ÿecko
Detimedac Kolumbie, NÏmecko, Rumunsko, Tunisko
DTIC nový Zéland, Rakousko, USA
Fauldetic Portugalsko
Oncocarbil Argentina, Ekvádor, Peru
Tiferomed Mexiko
Způsoby aplikace   Způsoby aplikace :Dacarbazine     
Voie
Intravenózní infúze
intraarteriálně

  Mentions Légales