Pēdējā atjaunošana :
18/03/2026
vēzis narkotiku   Cyclophosphamide  
Injekcija
Kapsula Orāls šķīdums
Šķīduma stabilitāte Maisījuma stabilitāte Stabilitāti ietekmējoši faktori Saderība Levadīšanas veids Literatūras saraksts pdf
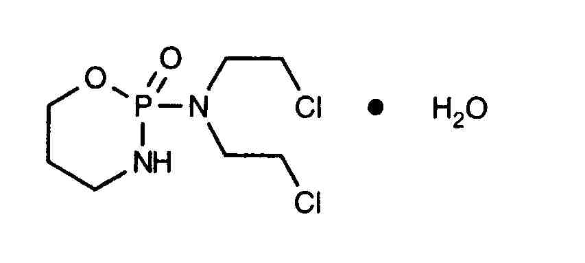
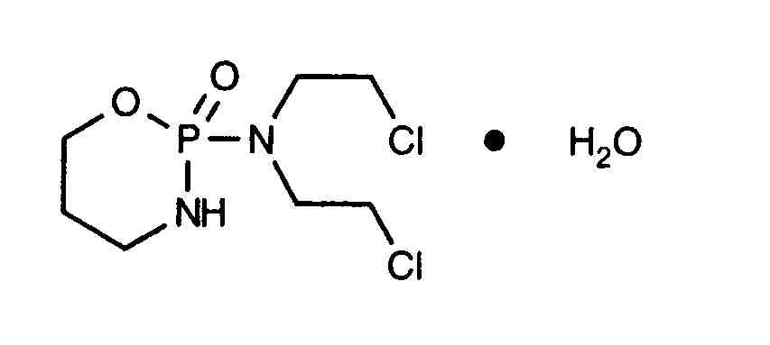
   Ķīmiskā uzbūve   

Oriģinālais nosaukums   Oriģinālais nosaukums     

Tirdzniecības nosaukumi ir apzīmējoši un palīgvielas var atšķirties dažādām valstīm un laboratorijām

Alkyloxan Ēģipte, Malaizija
Celomide Indija
Ciclofosfamida Argentīna, Čīle, Rumānija
Cicloxal Spānija
Cryofaxol Meksika
Cycloblastin Austrālija
Cycloblastine Holande
Cyclophosphamid Dānija, Vācija
Cyclophosphamide Amerikas Savienotās Valstis, Jaunzēlande, Lielbritānija, Saūda Arābija
Cyclostin Vācija
Cycloxan Malaizija
Cycram Ēģipte
Cytoxan Amerikas Savienotās Valstis, Kanāda, Ungārija
Eldamide Indija
Endoxan Apvienotie Arābu Emirāti, Austrālija, Austrija, Beļģija, Čīle, Ekvadora, Francija, Grieķija, Holande, Horvātija, Indija, Irāna, Itālija, Jaunzēlande, Kolumbija, Luksemburga, Maroka, Polija, Portugāle, Saūda Arābija, Slovēnija, Šveice, Taizeme, Tunisija, Turcija, Ungārija, Vācija, Venecuēla
Endoxana Īrija, Lielbritānija
Formitex Kolumbija, Meksika
Genoxal Spānija
Genuxal Brazīlija
Hidrofosmin Meksika
Ledoxan Kolumbija
Ledoxina Kolumbija, Meksika
Neophos Ēģipte
Neosar Amerikas Savienotās Valstis
Procytox Kanāda
Sendoxan Dānija, Islande, Norvēģija, Somija, Zviedrija
Syklofosfamid Somija, Turcija

Stabilitāti ietekmējoši faktori   Injekcija   Stabilitāti ietekmējoši faktori : Cyclophosphamide        
Literatūras saraksts
Temperatūra Palielināšanās Izraisošs Deģenerācija 172
Temperatūra >70°C Izraisošs Deģenerācija 170

  Mentions Légales