Ultimo aggiornamento :
18/03/2026
farmaco contro il cancro   Cyclophosphamide  
Iniezione
Capsula Soluzione orale
Stabilità in soluzione Stabilità in miscela Fattori che influenzano la stabilità Compatibilità metodo di iniezione Bibliografia pdf
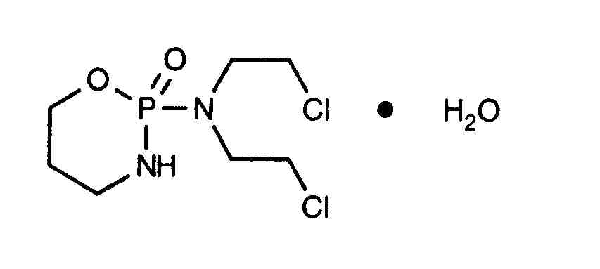
   Struttura chimica  

Nome commerciale   Nome commerciale     

Trade names are indicative and excipients composition can be different depending on the country and manufacturers

Alkyloxan Egitto, Malaysia
Celomide India
Ciclofosfamida Argentina, Chile, Romania
Cicloxal Spagna
Cryofaxol Messico
Cycloblastin Australia
Cycloblastine Paesi Bassi
Cyclophosphamid Danimarca, Germania
Cyclophosphamide Arabia Saudita, Gran Bretagna, nuova Zelanda, Stati Uniti d’America
Cyclostin Germania
Cycloxan Malaysia
Cycram Egitto
Cytoxan Canada, Stati Uniti d’America, Ungheria
Eldamide India
Endoxan Arabia Saudita, Australia, Austria, Belgio, Chile, Colombia, Croazia, Ecuador, Emirati Arabi Uniti, Francia, Germania, Grecia, India, Iran, Italia, Lussemburgo, Marocco, nuova Zelanda, Paesi Bassi, Polonia, Portogallo, Slovenia, Svizzera, Tailandia, Tunisia, Turchia, Ungheria, Venezuela
Endoxana Gran Bretagna, Irlanda
Formitex Colombia, Messico
Genoxal Spagna
Genuxal Brasile
Hidrofosmin Messico
Ledoxan Colombia
Ledoxina Colombia, Messico
Neophos Egitto
Neosar Stati Uniti d’America
Procytox Canada
Sendoxan Danimarca, Finlandia, Islanda, Norvegia, Svezia
Syklofosfamid Finlandia, Turchia

Fattori che influenzano la stabilità   Iniezione   Fattori che influenzano la stabilità : Cyclophosphamide        
Bibliografia
Temperatura Aumento Provoca Degradazione 172
Temperatura >70°C Provoca Degradazione 170

  Mentions Légales