Seneste opdatering :
18/03/2026
anticancer medicin   Cyclophosphamide  
Injektion
Kapsel Oral opløsning
Stabilitet i (vandige) opløsninger Stabilitet i blandinger Faktorer der påvirker stabiliteten Kompatibilitet Administrationsvej Bibliografi pdf
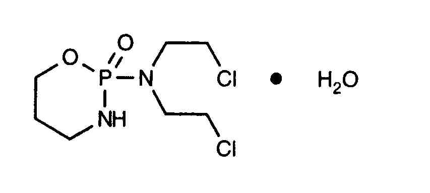
   Kemisk struktur  

Handelsnavn   Handelsnavn     

Handel navne er vejledende og hjælpestoffer sammensætning kan være forskellig afhængigt af landet og laboratorier

Alkyloxan Malaysia, Ægypten
Celomide Indien
Ciclofosfamida Argentina, Chile, Rumænien
Cicloxal Spanien
Cryofaxol Mexico
Cycloblastin Australien
Cycloblastine Holland
Cyclophosphamid Danmark, Tyskland
Cyclophosphamide New Zealand, Saudi-Arabien, Storbritanien, USA
Cyclostin Tyskland
Cycloxan Malaysia
Cycram Ægypten
Cytoxan Canada, Ungarn, USA
Eldamide Indien
Endoxan Australien, Belgien, Chile, Colombia, Ecuador, Forenede Arabiske Emirater, Frankrig, Grækenland, Holland, Indien, Iran, Italien, Kroatien, Luxemborg, Marokko, New Zealand, Polen, Portugal, Saudi-Arabien, Schweiz, Slovenien, Thailand, Tunesien, Tyrkiet, Tyskland, Ungarn, Venezuela, Østrig
Endoxana Irland, Storbritanien
Formitex Colombia, Mexico
Genoxal Spanien
Genuxal Brasilien
Hidrofosmin Mexico
Ledoxan Colombia
Ledoxina Colombia, Mexico
Neophos Ægypten
Neosar USA
Procytox Canada
Sendoxan Danmark, Finland, Island, Norge, Sverige
Syklofosfamid Finland, Tyrkiet

Faktorer der påvirker stabiliteten   Injektion   Faktorer der påvirker stabiliteten : Cyclophosphamide        
Bibliografi
Temperatur Stigning Fremkalde Nedbrydning 172
Temperatur >70°C Fremkalde Nedbrydning 170

  Mentions Légales