Utolsó frissítés :
18/03/2026
rákellenes gyógyszer   Cyclophosphamide  
Injekció
belsőleges oldat kapszula
Az oldatok stabilitása A keverékek stabilitása Stabilitást befolyásoló tényezők Kompatibilitás Az alkalmazás módja Irodalom pdf
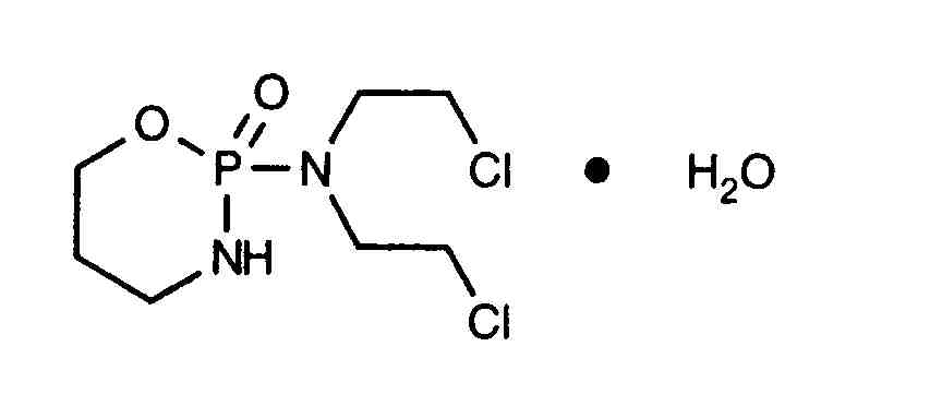
   Kémiai szerkezet   

Kereskedelmi név   Kereskedelmi név     

A kereskedelmi név meghatározó jelentőségű: a készítmények összetétele országonként, előállítóként eltérő lehet

Alkyloxan Egyiptom, Malaysia
Celomide India
Ciclofosfamida Argentína, Chile, Románia
Cicloxal Spanyolország
Cryofaxol Mexikó
Cycloblastin Ausztrália
Cycloblastine Hollandia
Cyclophosphamid Dánia, Németország
Cyclophosphamide Amerikai Egyesült Államok, Nagy-Britannia, Szaúd-Arábiában, új-Zéland
Cyclostin Németország
Cycloxan Malaysia
Cycram Egyiptom
Cytoxan Amerikai Egyesült Államok, Kanada, Magyarország
Eldamide India
Endoxan Ausztrália, Ausztria, Belgium, Chile, Colombia, Ecuador, Egyesült Arab Emírségek, Franciaország, Görögország, Hollandia, Horvátország, India, Irán, Lengyelország, Luxemburg, Magyarország, Marokkó, Németország, Olaszország, Portugália, Svájc, Szaúd-Arábiában, Szlovénia, Thaiföld, Törökország, Tunézia, új-Zéland, Venezuela
Endoxana Írország, Nagy-Britannia
Formitex Colombia, Mexikó
Genoxal Spanyolország
Genuxal Brazília
Hidrofosmin Mexikó
Ledoxan Colombia
Ledoxina Colombia, Mexikó
Neophos Egyiptom
Neosar Amerikai Egyesült Államok
Procytox Kanada
Sendoxan Dánia, Finnország, Izland, Norvégia, Svédország
Syklofosfamid Finnország, Törökország

Stabilitást befolyásoló tényezők   Injekció   Stabilitást befolyásoló tényezők : Cyclophosphamide        
Irodalom
Hőmérséklet Növekedés Előidéz Lebomlás 172
Hőmérséklet >70°C Előidéz Lebomlás 170

  Mentions Légales