Última actualização :
05/12/2025
Anestésico general   Amobarbital sodium  
injetável
Estabilidade em soluções simples Estabilidade em misturas Factores que afectam a sua estabilidade Compatibilidade Método de administração Bibliografía pdf
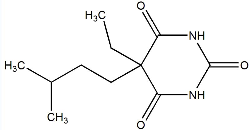
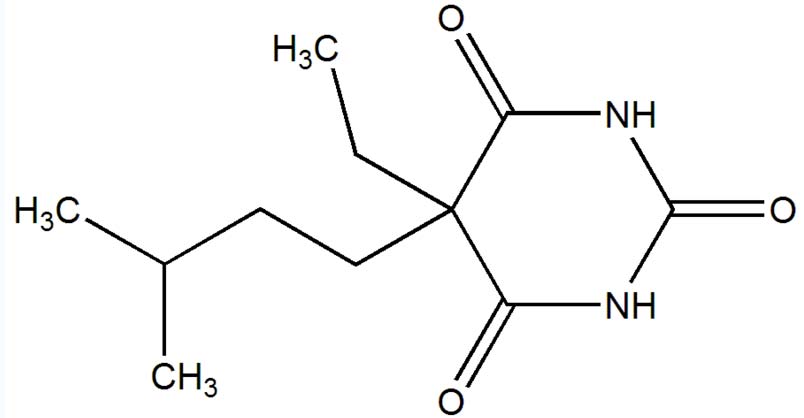
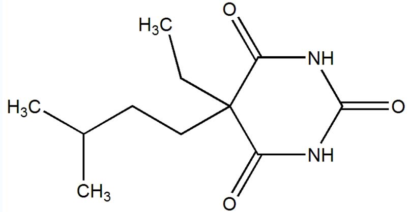
   estrutura química  

Nomes comerciais nos diversos países   Nomes comerciais nos diversos países     

OS NOMES COMERCIAIS SÃO INDICATIVOS E OS EXCIPIENTES DA FORMULAÇÃO PODEM SER DIFERENTES CONFORME O PAÍS E FABRICANTE.

Amytal Sodium Estados Unidos de América
Estabilidade em soluções simples   injetável   Estabilidade em soluções simples : Amobarbital sodium     
Ausência de dados

  Mentions Légales