Siste oppdatering :
18/03/2026
Generell anestesi   Amobarbital sodium  
Injeksjon
Oppløsningsstabilitet Stabilitet i blandinger Faktorer som påvirker stabiliteten Kompatibilitet Administrasjonsmåte Referanser pdf
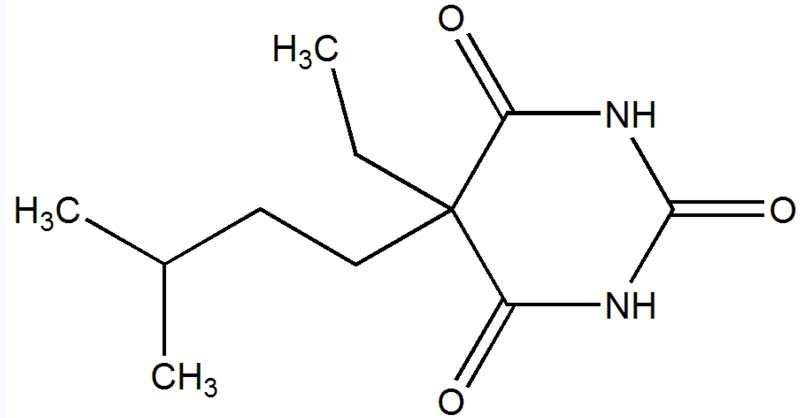
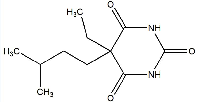
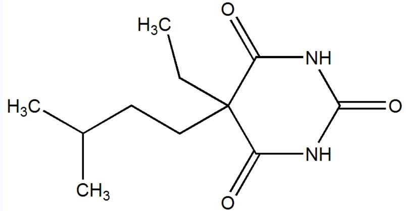
   Kjemisk struktur  

Handelsnavn   Handelsnavn     

Handelsnavn er veiledende og sammensetning av hjelpestoffer kan være forskjellig avhengig av land og produsent

Amytal Sodium USA
Oppløsningsstabilitet   Injeksjon   Oppløsningsstabilitet : Amobarbital sodium     
Ingen opplysninger

  Mentions Légales