Pēdējā atjaunošana :
27/11/2025
Vispārējās anestēzijas līdzeklis   Amobarbital sodium  
Injekcija
Šķīduma stabilitāte Maisījuma stabilitāte Stabilitāti ietekmējoši faktori Saderība Levadīšanas veids Literatūras saraksts pdf
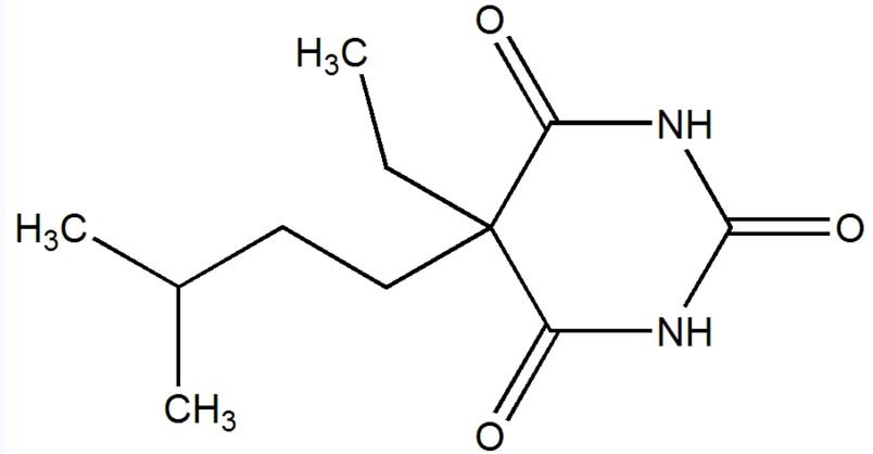
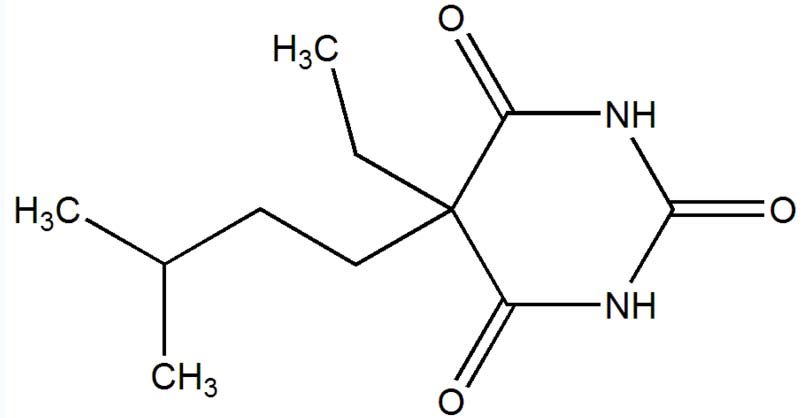
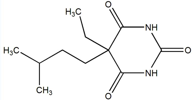
   Ķīmiskā uzbūve   

Oriģinālais nosaukums   Oriģinālais nosaukums     

Tirdzniecības nosaukumi ir apzīmējoši un palīgvielas var atšķirties dažādām valstīm un laboratorijām

Amytal Sodium Amerikas Savienotās Valstis
Šķīduma stabilitāte   Injekcija   Šķīduma stabilitāte : Amobarbital sodium     
Nav datu

  Mentions Légales