آخر تحديث :
27/11/2025
أدوية تخدير عام   Amobarbital sodium  
حقن
الاستقرار في حلول استقرار مخاليط العوامل التي تؤثر على الاستقرار التوافق طريقة التعاطي مراجع pdf
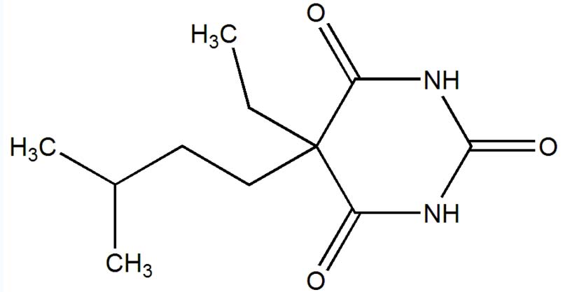
   التركيب الكيميائي  

حجز الاسم التجاري   حجز الاسم التجاري     

تحذير الأسماء التجاريه المختلفه قد تحتوي علي محتوي إضافات مختلفة حسب الدوله و المعمل

Amytal Sodium الولايات المتحدة
الاستقرار في حلول   حقن   الاستقرار في حلول : Amobarbital sodium     
لا توجد بيانات

  Mentions Légales