Utolsó frissítés :
18/03/2026
Általános érzéstelenítő   Amobarbital sodium  
Injekció
Az oldatok stabilitása A keverékek stabilitása Stabilitást befolyásoló tényezők Kompatibilitás Az alkalmazás módja Irodalom pdf
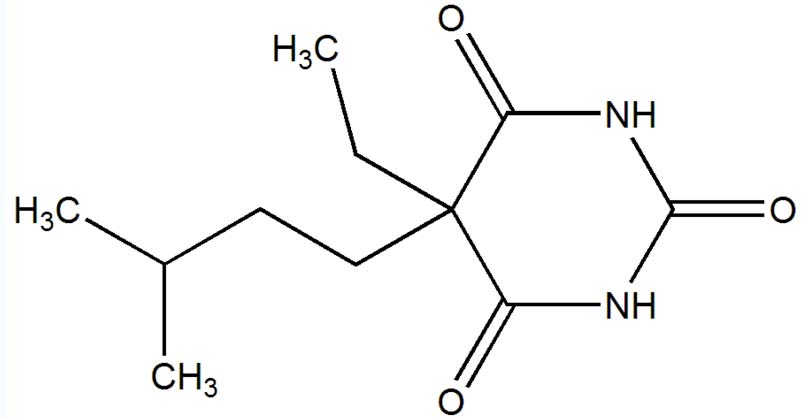
   Kémiai szerkezet   

Kereskedelmi név   Kereskedelmi név     

A kereskedelmi név meghatározó jelentőségű: a készítmények összetétele országonként, előállítóként eltérő lehet

Amytal Sodium Amerikai Egyesült Államok
Az oldatok stabilitása   Injekció   Az oldatok stabilitása : Amobarbital sodium     
Hiányzó adat

  Mentions Légales