最新更新 :
27/11/2025
全麻醉药   Amobarbital sodium  
注射液
溶液稳定性 混合物稳定性 影响稳定性的因素 兼容性 用药途径 引用文献 PDF
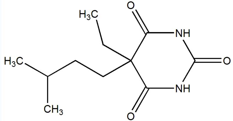
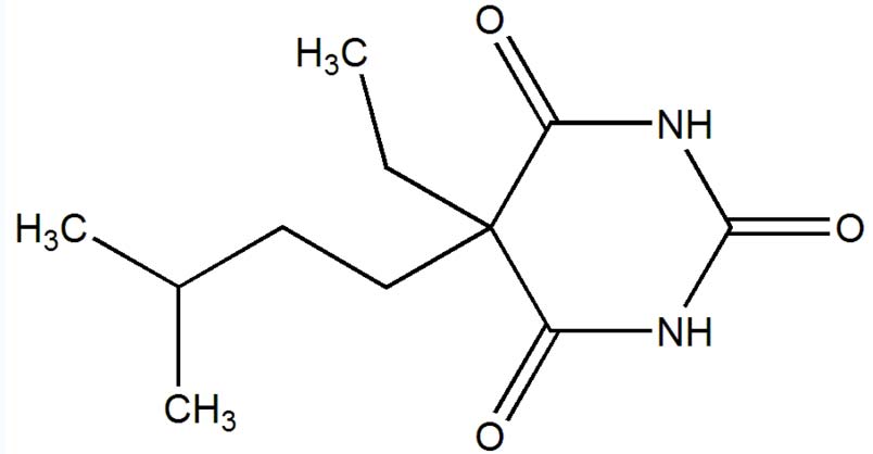
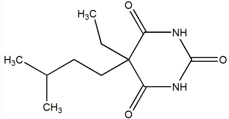
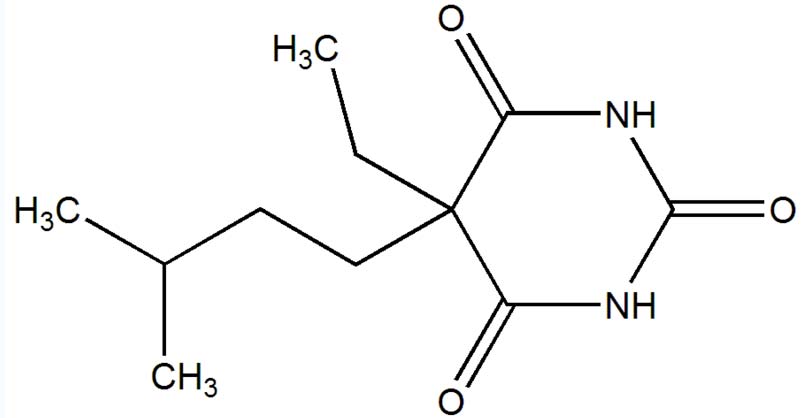
   化学式  

商品名   商品名     

商品名仅供参考, 药品所用的辅料可能依国家或厂商不同有所不同。

Amytal Sodium 美国
溶液稳定性   注射液   溶液稳定性 : Amobarbital sodium     
无数据

  Mentions Légales