Zadnji put ažurirano :
18/03/2026
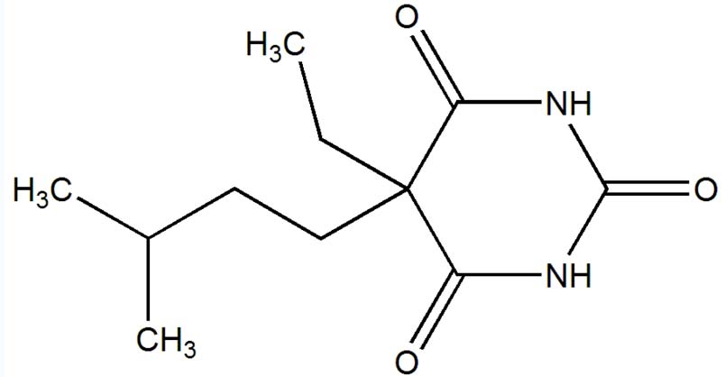
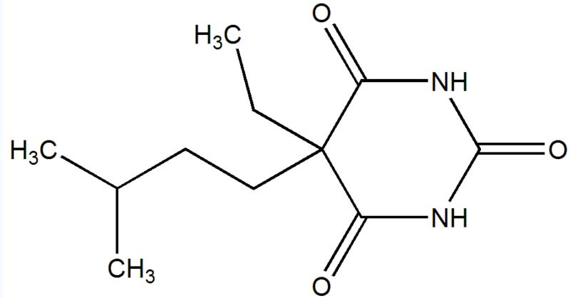
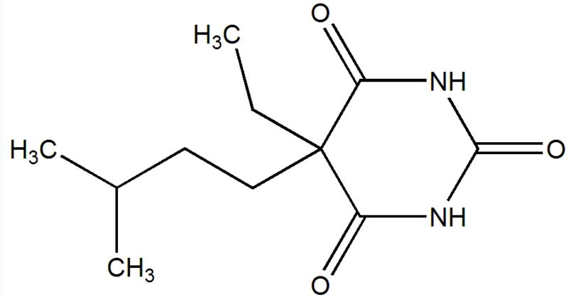
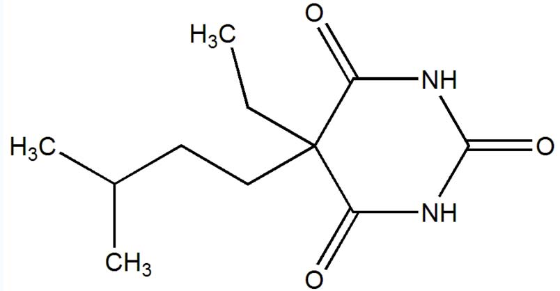
opća anestezija   Amobarbital sodium  
injekcija
Stabilizacija rješenja Stabilnost mješavine Stabilizacijski faktor Kompatibilnosti način davanja lijeka Bibliografija pdf
   Kemijska struktura  

Nekomercijalni   Nekomercijalni     

Zaštićeni nazivi su indikativni i sastav ekscipijensa može biti različit ovisno o državi i laboratorijima

Amytal Sodium S A D
Stabilizacija rješenja   injekcija   Stabilizacija rješenja : Amobarbital sodium     
bez podataka

  Mentions Légales