viimane versioon :
18/03/2026
üldanesteetikum   Amobarbital sodium  
Süsteravim
Stabiilsus lahustes Stabiilsust mõjutavad tegurid stabiilsust mõjutavad faktorid Sobimatus Manustamis viis Viited pdf
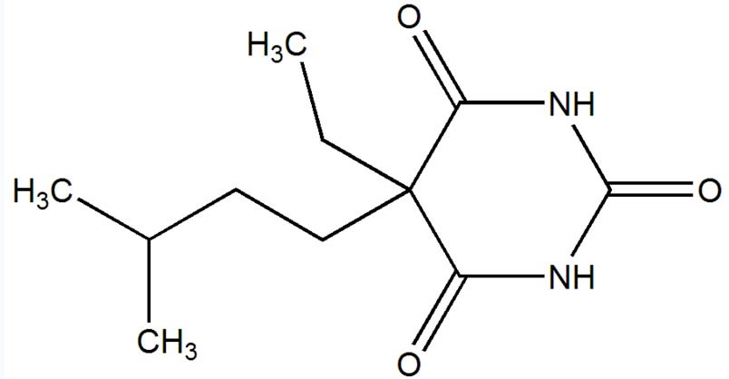
   keemiline struktuur  

Kaubanduslikud nimed erinevates maades   Kaubanduslikud nimed erinevates maades     

Preparaatide nimed on näitlikud ja abianete sisaldus võib erineda sõltuvalt riigist ja laborist

Amytal Sodium Ameerika ühendriigid
Stabiilsus lahustes   Süsteravim   Stabiilsus lahustes : Amobarbital sodium     
andmed puuduvad

  Mentions Légales