Останнє оновлення :
27/11/2025
Судинорозширювальний засіб   Alprostadil  
ін'єкція
Стійкість в розчинах Стійкість сумішей Фактори, що впливають на стабільність Сумісність Шлях введення Список літератури pdf
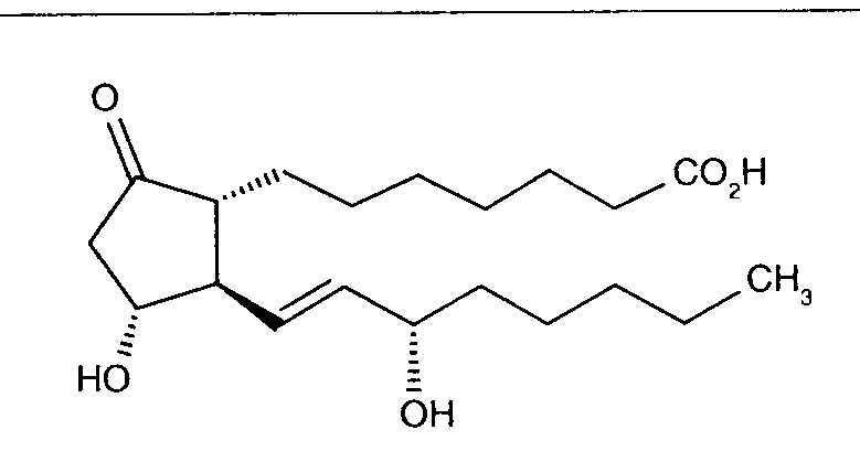
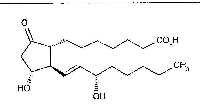
   Хімічна структура  

Торгова назва   Торгова назва     

Торгові назви є орієнтовними, а склад допоміжних речовин може бути різним залежно від країни та виробника

Alfaprostin Єгипет
Alistint Мексика, Перу
Alprostadil Іспанія, Австралія, Аргентина, Еквадор, Канада, Малайзія, Німеччина, Перу, Румунія, Саудівська Аравія, Сполучені Штати Америки, Туреччина, Чилі
Alprostapint Австрія, Аргентина, Еквадор, Колумбія, Перу, Угорщина
Alprostar Італія
Aplicav
Cardiobonisol Польща
Caverject Іспанія, Італія, Австрія, Бельгія, Бразилія, Великобританія, Данія, Канада, Колумбія, Норвегія, Об'єднані Арабські Емірати, Польща, Португалія, Словенія, Сполучені Штати Америки, Туреччина, Франція, Чилі, Швейцарія, Швеція
Edex Греція, Сполучені Штати Америки, Туніс, Франція
Liple Японія
Minprog Австрія, Німеччина
Ostapint Мексика, Перу
Palux Японія
Pridax Іспанія, Австрія, Німеччина, Румунія
Prolisina VR Аргентина
Prostandin Японія
Prostavasin Єгипет, Іран, Італія, Австрія, Люксембург, Німеччина, Польща, Угорщина
Prostin VR Іран, Італія, Бельгія, Великобританія, Венесуела, Греція, Данія, Канада, Колумбія, Люксембург, Малайзія, Нідерланди, Норвегія, Польща, Португалія, Саудівська Аравія, Сполучені Штати Америки, Угорщина, Фінляндія, Хорватія, Швейцарія
Prostine VR Франція
Vasaprostan Румунія
Список літератури   ін'єкція   Список літератури : Alprostadil  
Тип Публікація
1072 журнал Saltsmann CL, Tom CM, Mitchell A, Fan JH, Gailey RA.
Compatibility of levofloxacin with 34 medications during simulated Y-site administration.
Am J Health-Syst Pharm 1999 ; 56: 1458-1459.
1899 журнал Trissel LA, Zhang Y.
Long-term stability of Trimix : a three drug injection used to treat rectile dysfunction.
Int J Pharm Compound 2004 ; 8, 3: 231-235.
2003 журнал Paul M, Razzouq N, Tixier G, Astier A.
Stability of prostaglandin E1 (PGE1) in aqueous solutions.
EJHP Science 2005 ; 2: 31-36.
2090 журнал Pere H, Chasse V, Forest JM, Hildgen P.
Compatibility of injectable pantoprazole in Y-site administration.
Pharmactuel 2004 ; 37: 193-196.
2150 журнал Soli M, Bertaccini A, carparelli F, Gotti R, Cavrini V, Andrisano V, Martorana G.
Vasoactive cocktails for erectile dysfunction: chemical stability of PGE1, papaverine and phentolamine.
J Urology 1998 ; 160; 2: 551-555.
2151 журнал Gatti R, Gotti R, Cavrini V, Soli M, Bertaccini A, Carparelli F.
Stability study of prostaglandin E1 (PGE1) in physiological solutions by liquid chromatography (HPLC).
Int J Pharm 1995 ; 115: 113-117.
3201 журнал Dice JE.
Physical compatibility of alprostadil with commonly used IV solutions and medications in the neonatal intensive care unit.
J Pediatr Pharmacol Ther 2006 ; 11:233?6.
3448 журнал Vieillard V, Eychenne N, Astier A, Yiou R, Deffaux C, Paul M.
Physicochemical stability study of a new Trimix formulation for treatment of erectile dysfunction.
Ann Pharm Fr 2013 ; 71, 5: 358-363.
3761 книга Chavan E.
Etude de la stabilité de solutions de prostaglandine E1 à 48 et 72 heures en vue d'une administration parentérale en continu à des patients de néonatalogie.
Master en pharmacie - University of Geneva 2014
3961 журнал McCluskey S.V,Kirkham K,Munson J.M.
Stability of Alprostadil in 0.9% Sodium Chloride Stored in Polyvinyl Chloride Containers.
Int J Pharm Compound 2017 ; 21, 2: 150-153.
4069 журнал Palmero D, Chavan E, Berger-Gryllaki M, Tolsa J-F, Di Paolo E, Pannatier A, Henry H, Sadeghipour F.
Stability of prostaglandin E1 solutions stored in polypropylene syringes for continuous intravenous administration to newborns.
EJHP 2018 ; 25, e2
4389 журнал Côté K, Correal F, Metras M.E, Friciu M, Forest J.M, Leclair G.
Compatibilité physique des médicaments administrés en Y aux soins intensifs, en particulier la dexmédétomidine, le lévosimendan et la kétamine.
Pharmactuel 2019 ;52,4:206-213
4491 журнал De Basagoiti A, Katsumiti A, Abascal S, Bustinza A, López-Giménez L.R, Pilar P, De Miguel M, Campino A.
Physical compatibility of alprostadil with selected drugs commonly used in the neonatal intensive care units.
Eur J Pedia 2020
4507 журнал Ross E, Salinas A, Petty K, Her C, Carpenter J.
Compatibility of medications with intravenous lipid emulsions: Effects of simulated Y-site mixing.
Am J Health-Syst Pharm 2020 ;77,23:1980-1985
4543 журнал Senarathna G, Strunk T, Petrovski M, Batty K.
Physical compatibility of pentoxifylline and intravenous medications.
Archives of Disease in Childhood 2018 ;104:292–295.
4570 журнал Greenhill K, Hornsby E, Gorman G.
Investigations of Physical Compatibilities of Commonly Used Intravenous Medications with and without Parenteral Nutrition in Pediatric Cardiovascular Intensive Care Unit Patients.
Pharmaceuticals 2019
4651 журнал De Basagoiti A, Katsumiti A, Abascal S, Bustinza A, López-Giménez L.R, Pascual P, De Miguel M, Campino A.
Physical compatibility of alprostadil with selected drugs commonly used in the neonatal intensive care units.
Eur J Pedia 2021 ;180,1169–1176.
4837 журнал De Silva, D.T.N Petrovski M, Strunk T, Mukadam N, Page‑Sharp N, Moore B.R, Batty K.T.
Physicochemical compatibility of caffeine citrate and caffeine base injections with parenteral medications used in neonatal intensive care settings.
Eur J Clin Pharmacol 2024 ; 80:1079–1087.
4845 журнал De Silva D.T.N, Strunk T, Petrovski M, Page-Sharp M, Moore B.R, Batty K.T.
The Physicochemical Compatibility of Sildenafil Injection with Parenteral Medications Used in Neonatal Intensive Care Settings.
Pharmaceutics 2024 ;1 6, 419.
4954 Виробник ALPROSTADIL INTSEL CHIMOS 0,5 mg/ml, solution injectable - Résumé des caractéristiques du produit
INTSEL CHIMOS 2020

  Mentions Légales