Ultimele actualizari :
18/03/2026
Vasodilatator   Alprostadil  
Injectabil
Stabilitatea in solutie Stabilitatea in amestec Factorii care influenteaza stabilitatea Compatibilitate Microunde Bibliografie pdf
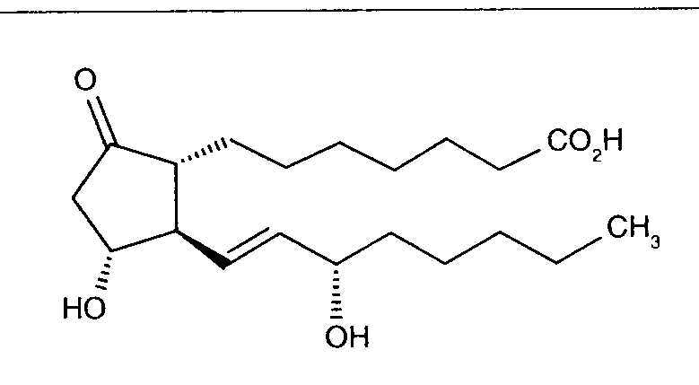
   Formula chimica  

Denumirea comerciala   Denumirea comerciala     

Trade names are indicative and excipients composition can be different depending on the country and manufacturers

Alfaprostin Egipt
Alistint Mexic, Peru
Alprostadil Arabia Saudita, Argentina, Australia, Canada, Chilli, Ecuador, Germania, Malaezia, Peru, Romania, Spania, SUA, Turcia
Alprostapint Argentina, Austria, Columbia, Ecuador, Peru, Ungaria
Alprostar Italia
Aplicav
Cardiobonisol Polonia
Caverject Austria, Belgia, Brazilia, Canada, Chilli, Columbia, Danemarca, Elvetia, Emiratele Arabe Unite, Franta, Italia, Marea Britanie, Norvegia, Polonia, Portugalia, Slovenia, Spania, SUA, Suedia, Turcia
Edex Franta, Grecia, SUA, Tunisia
Liple Japonia
Minprog Austria, Germania
Ostapint Mexic, Peru
Palux Japonia
Pridax Austria, Germania, Romania, Spania
Prolisina VR Argentina
Prostandin Japonia
Prostavasin Austria, Egipt, Germania, Iran, Italia, Luxemburg, Polonia, Ungaria
Prostin VR Arabia Saudita, Belgia, Canada, Columbia, Croatia, Danemarca, Elvetia, Finlanda, Grecia, Iran, Italia, Luxemburg, Malaezia, Marea Britanie, Norvegia, Olanda, Polonia, Portugalia, SUA, Ungaria, Venezuela
Prostine VR Franta
Vasaprostan Romania
Bibliografie   Injectabil   Bibliografie : Alprostadil  
tip publicare
1072 ziar Saltsmann CL, Tom CM, Mitchell A, Fan JH, Gailey RA.
Compatibility of levofloxacin with 34 medications during simulated Y-site administration.
Am J Health-Syst Pharm 1999 ; 56: 1458-1459.
1899 ziar Trissel LA, Zhang Y.
Long-term stability of Trimix : a three drug injection used to treat rectile dysfunction.
Int J Pharm Compound 2004 ; 8, 3: 231-235.
2003 ziar Paul M, Razzouq N, Tixier G, Astier A.
Stability of prostaglandin E1 (PGE1) in aqueous solutions.
EJHP Science 2005 ; 2: 31-36.
2090 ziar Pere H, Chasse V, Forest JM, Hildgen P.
Compatibility of injectable pantoprazole in Y-site administration.
Pharmactuel 2004 ; 37: 193-196.
2150 ziar Soli M, Bertaccini A, carparelli F, Gotti R, Cavrini V, Andrisano V, Martorana G.
Vasoactive cocktails for erectile dysfunction: chemical stability of PGE1, papaverine and phentolamine.
J Urology 1998 ; 160; 2: 551-555.
2151 ziar Gatti R, Gotti R, Cavrini V, Soli M, Bertaccini A, Carparelli F.
Stability study of prostaglandin E1 (PGE1) in physiological solutions by liquid chromatography (HPLC).
Int J Pharm 1995 ; 115: 113-117.
3201 ziar Dice JE.
Physical compatibility of alprostadil with commonly used IV solutions and medications in the neonatal intensive care unit.
J Pediatr Pharmacol Ther 2006 ; 11:233?6.
3448 ziar Vieillard V, Eychenne N, Astier A, Yiou R, Deffaux C, Paul M.
Physicochemical stability study of a new Trimix formulation for treatment of erectile dysfunction.
Ann Pharm Fr 2013 ; 71, 5: 358-363.
3761 carte Chavan E.
Etude de la stabilité de solutions de prostaglandine E1 à 48 et 72 heures en vue d'une administration parentérale en continu à des patients de néonatalogie.
Master en pharmacie - University of Geneva 2014
3961 ziar McCluskey S.V,Kirkham K,Munson J.M.
Stability of Alprostadil in 0.9% Sodium Chloride Stored in Polyvinyl Chloride Containers.
Int J Pharm Compound 2017 ; 21, 2: 150-153.
4069 ziar Palmero D, Chavan E, Berger-Gryllaki M, Tolsa J-F, Di Paolo E, Pannatier A, Henry H, Sadeghipour F.
Stability of prostaglandin E1 solutions stored in polypropylene syringes for continuous intravenous administration to newborns.
EJHP 2018 ; 25, e2
4389 ziar Côté K, Correal F, Metras M.E, Friciu M, Forest J.M, Leclair G.
Compatibilité physique des médicaments administrés en Y aux soins intensifs, en particulier la dexmédétomidine, le lévosimendan et la kétamine.
Pharmactuel 2019 ;52,4:206-213
4491 ziar De Basagoiti A, Katsumiti A, Abascal S, Bustinza A, López-Giménez L.R, Pilar P, De Miguel M, Campino A.
Physical compatibility of alprostadil with selected drugs commonly used in the neonatal intensive care units.
Eur J Pedia 2020
4507 ziar Ross E, Salinas A, Petty K, Her C, Carpenter J.
Compatibility of medications with intravenous lipid emulsions: Effects of simulated Y-site mixing.
Am J Health-Syst Pharm 2020 ;77,23:1980-1985
4543 ziar Senarathna G, Strunk T, Petrovski M, Batty K.
Physical compatibility of pentoxifylline and intravenous medications.
Archives of Disease in Childhood 2018 ;104:292–295.
4570 ziar Greenhill K, Hornsby E, Gorman G.
Investigations of Physical Compatibilities of Commonly Used Intravenous Medications with and without Parenteral Nutrition in Pediatric Cardiovascular Intensive Care Unit Patients.
Pharmaceuticals 2019
4651 ziar De Basagoiti A, Katsumiti A, Abascal S, Bustinza A, López-Giménez L.R, Pascual P, De Miguel M, Campino A.
Physical compatibility of alprostadil with selected drugs commonly used in the neonatal intensive care units.
Eur J Pedia 2021 ;180,1169–1176.
4837 ziar De Silva, D.T.N Petrovski M, Strunk T, Mukadam N, Page‑Sharp N, Moore B.R, Batty K.T.
Physicochemical compatibility of caffeine citrate and caffeine base injections with parenteral medications used in neonatal intensive care settings.
Eur J Clin Pharmacol 2024 ; 80:1079–1087.
4845 ziar De Silva D.T.N, Strunk T, Petrovski M, Page-Sharp M, Moore B.R, Batty K.T.
The Physicochemical Compatibility of Sildenafil Injection with Parenteral Medications Used in Neonatal Intensive Care Settings.
Pharmaceutics 2024 ;1 6, 419.
4954 Laborator ALPROSTADIL INTSEL CHIMOS 0,5 mg/ml, solution injectable - Résumé des caractéristiques du produit
INTSEL CHIMOS 2020

  Mentions Légales