Última actualización :
18/03/2026
Vasodilatador   Alprostadil  
Inyectables
Estabilidad en solucion Estabilidad en mezcla Factores que influyen sobre la estabilidad Compatibilidades método de inyección Bibliografía pdf
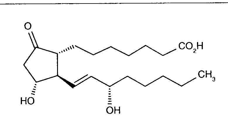
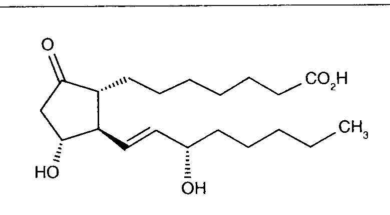
   Estructura química  

Nombre comercial   Nombre comercial     

Los nombres comerciales son orientativos y los excipientes de la formulación pueden ser distintos dependiendo del país y del laboratorio fabricante.

Alfaprostin Egipto
Alistint Marruecos, México
Alprostadil Alemania, Arabia Saudita, Argentina, Australia, Canadá, Chile, Ecuador, España, Estados Unidos de América, Malasia, Marruecos, Rumania, Turquía
Alprostapint Argentina, Austria, Colombia, Ecuador, Hungría, Marruecos
Alprostar Italia
Aplicav
Cardiobonisol Polonia
Caverject Austria, Bélgica, Brasil, Canadá, Chile, Colombia, Dinamarca, Emiratos Árabes Unidos, Eslovenia, España, Estados Unidos de América, Francia, Gran Bretaña, Italia, Noruega, Polonia, Portugal, Suecia, Suiza, Turquía
Edex Estados Unidos de América, Francia, Grecia, Túnez
Liple Japón
Minprog Alemania, Austria
Ostapint Marruecos, México
Palux Japón
Pridax Alemania, Austria, España, Rumania
Prolisina VR Argentina
Prostandin Japón
Prostavasin Alemania, Austria, Egipto, Hungría, Irán, Italia, Luxemburgo, Polonia
Prostin VR Arabia Saudita, Bélgica, Canadá, Colombia, Croacia, Dinamarca, Estados Unidos de América, Finlandia, Gran Bretaña, Grecia, Hungría, Irán, Italia, Luxemburgo, Malasia, Noruega, Países Bajos, Polonia, Portugal, Suiza, Venezuela
Prostine VR Francia
Vasaprostan Rumania
Bibliografía   Inyectables   Bibliografía : Alprostadil  
Tipo Publicación
1072 periódico Saltsmann CL, Tom CM, Mitchell A, Fan JH, Gailey RA.
Compatibility of levofloxacin with 34 medications during simulated Y-site administration.
Am J Health-Syst Pharm 1999 ; 56: 1458-1459.
1899 periódico Trissel LA, Zhang Y.
Long-term stability of Trimix : a three drug injection used to treat rectile dysfunction.
Int J Pharm Compound 2004 ; 8, 3: 231-235.
2003 periódico Paul M, Razzouq N, Tixier G, Astier A.
Stability of prostaglandin E1 (PGE1) in aqueous solutions.
EJHP Science 2005 ; 2: 31-36.
2090 periódico Pere H, Chasse V, Forest JM, Hildgen P.
Compatibility of injectable pantoprazole in Y-site administration.
Pharmactuel 2004 ; 37: 193-196.
2150 periódico Soli M, Bertaccini A, carparelli F, Gotti R, Cavrini V, Andrisano V, Martorana G.
Vasoactive cocktails for erectile dysfunction: chemical stability of PGE1, papaverine and phentolamine.
J Urology 1998 ; 160; 2: 551-555.
2151 periódico Gatti R, Gotti R, Cavrini V, Soli M, Bertaccini A, Carparelli F.
Stability study of prostaglandin E1 (PGE1) in physiological solutions by liquid chromatography (HPLC).
Int J Pharm 1995 ; 115: 113-117.
3201 periódico Dice JE.
Physical compatibility of alprostadil with commonly used IV solutions and medications in the neonatal intensive care unit.
J Pediatr Pharmacol Ther 2006 ; 11:233?6.
3448 periódico Vieillard V, Eychenne N, Astier A, Yiou R, Deffaux C, Paul M.
Physicochemical stability study of a new Trimix formulation for treatment of erectile dysfunction.
Ann Pharm Fr 2013 ; 71, 5: 358-363.
3761 libro Chavan E.
Etude de la stabilité de solutions de prostaglandine E1 à 48 et 72 heures en vue d'une administration parentérale en continu à des patients de néonatalogie.
Master en pharmacie - University of Geneva 2014
3961 periódico McCluskey S.V,Kirkham K,Munson J.M.
Stability of Alprostadil in 0.9% Sodium Chloride Stored in Polyvinyl Chloride Containers.
Int J Pharm Compound 2017 ; 21, 2: 150-153.
4069 periódico Palmero D, Chavan E, Berger-Gryllaki M, Tolsa J-F, Di Paolo E, Pannatier A, Henry H, Sadeghipour F.
Stability of prostaglandin E1 solutions stored in polypropylene syringes for continuous intravenous administration to newborns.
EJHP 2018 ; 25, e2
4389 periódico Côté K, Correal F, Metras M.E, Friciu M, Forest J.M, Leclair G.
Compatibilité physique des médicaments administrés en Y aux soins intensifs, en particulier la dexmédétomidine, le lévosimendan et la kétamine.
Pharmactuel 2019 ;52,4:206-213
4491 periódico De Basagoiti A, Katsumiti A, Abascal S, Bustinza A, López-Giménez L.R, Pilar P, De Miguel M, Campino A.
Physical compatibility of alprostadil with selected drugs commonly used in the neonatal intensive care units.
Eur J Pedia 2020
4507 periódico Ross E, Salinas A, Petty K, Her C, Carpenter J.
Compatibility of medications with intravenous lipid emulsions: Effects of simulated Y-site mixing.
Am J Health-Syst Pharm 2020 ;77,23:1980-1985
4543 periódico Senarathna G, Strunk T, Petrovski M, Batty K.
Physical compatibility of pentoxifylline and intravenous medications.
Archives of Disease in Childhood 2018 ;104:292–295.
4570 periódico Greenhill K, Hornsby E, Gorman G.
Investigations of Physical Compatibilities of Commonly Used Intravenous Medications with and without Parenteral Nutrition in Pediatric Cardiovascular Intensive Care Unit Patients.
Pharmaceuticals 2019
4651 periódico De Basagoiti A, Katsumiti A, Abascal S, Bustinza A, López-Giménez L.R, Pascual P, De Miguel M, Campino A.
Physical compatibility of alprostadil with selected drugs commonly used in the neonatal intensive care units.
Eur J Pedia 2021 ;180,1169–1176.
4837 periódico De Silva, D.T.N Petrovski M, Strunk T, Mukadam N, Page‑Sharp N, Moore B.R, Batty K.T.
Physicochemical compatibility of caffeine citrate and caffeine base injections with parenteral medications used in neonatal intensive care settings.
Eur J Clin Pharmacol 2024 ; 80:1079–1087.
4845 periódico De Silva D.T.N, Strunk T, Petrovski M, Page-Sharp M, Moore B.R, Batty K.T.
The Physicochemical Compatibility of Sildenafil Injection with Parenteral Medications Used in Neonatal Intensive Care Settings.
Pharmaceutics 2024 ;1 6, 419.
4954 Laboratorio ALPROSTADIL INTSEL CHIMOS 0,5 mg/ml, solution injectable - Résumé des caractéristiques du produit
INTSEL CHIMOS 2020

  Mentions Légales