最新更新 :
27/11/2025
扩张血管药   Alprostadil  
注射液
溶液稳定性 混合物稳定性 影响稳定性的因素 兼容性 用药途径 引用文献 PDF
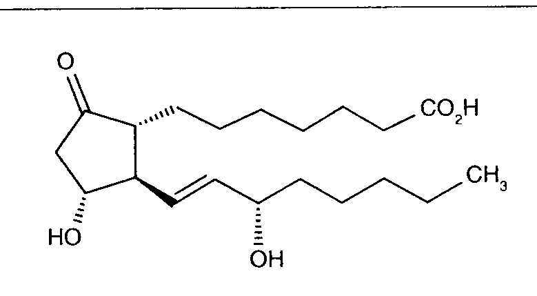
   化学式  

商品名   商品名     

商品名仅供参考, 药品所用的辅料可能依国家或厂商不同有所不同。

Alfaprostin 埃及
Alistint 墨西哥, 秘鲁
Alprostadil 加拿大, 厄瓜多尔, 土耳其, 德国, 智利, 沙特阿拉伯, 澳大利亚, 秘鲁, 罗马尼亚, 美国, 西班牙, 阿根廷, 马来西亚
Alprostapint 匈牙利, 厄瓜多尔, 哥伦比亚, 奥地利, 秘鲁, 阿根廷
Alprostar 意大利
Aplicav
Cardiobonisol 波兰
Caverject 丹麦, 加拿大, 哥伦比亚, 土耳其, 奥地利, 巴西, 意大利, 挪威, 斯洛文尼亚, 智利, 比利时, 法国, 波兰, 瑞典, 瑞士, 美国, 英国, 葡萄牙, 西班牙, 阿联酋
Edex 希腊, 法国, 突尼斯, 美国
Liple 日本
Minprog 奥地利, 德国
Ostapint 墨西哥, 秘鲁
Palux 日本
Pridax 奥地利, 德国, 罗马尼亚, 西班牙
Prolisina VR 阿根廷
Prostandin 日本
Prostavasin 伊朗, 匈牙利, 卢森堡, 埃及, 奥地利, 德国, 意大利, 波兰
Prostin VR 丹麦, 伊朗, 克罗地亚, 加拿大, 匈牙利, 卢森堡, 哥伦比亚, 委内瑞拉, 希腊, 意大利, 挪威, 比利时, 沙特阿拉伯, 波兰, 瑞士, 美国, 芬兰, 英国, 荷兰, 葡萄牙, 马来西亚
Prostine VR 法国
Vasaprostan 罗马尼亚
引用文献   注射液   引用文献 : Alprostadil  
种类 出版物
1072 文献 Saltsmann CL, Tom CM, Mitchell A, Fan JH, Gailey RA.
Compatibility of levofloxacin with 34 medications during simulated Y-site administration.
Am J Health-Syst Pharm 1999 ; 56: 1458-1459.
1899 文献 Trissel LA, Zhang Y.
Long-term stability of Trimix : a three drug injection used to treat rectile dysfunction.
Int J Pharm Compound 2004 ; 8, 3: 231-235.
2003 文献 Paul M, Razzouq N, Tixier G, Astier A.
Stability of prostaglandin E1 (PGE1) in aqueous solutions.
EJHP Science 2005 ; 2: 31-36.
2090 文献 Pere H, Chasse V, Forest JM, Hildgen P.
Compatibility of injectable pantoprazole in Y-site administration.
Pharmactuel 2004 ; 37: 193-196.
2150 文献 Soli M, Bertaccini A, carparelli F, Gotti R, Cavrini V, Andrisano V, Martorana G.
Vasoactive cocktails for erectile dysfunction: chemical stability of PGE1, papaverine and phentolamine.
J Urology 1998 ; 160; 2: 551-555.
2151 文献 Gatti R, Gotti R, Cavrini V, Soli M, Bertaccini A, Carparelli F.
Stability study of prostaglandin E1 (PGE1) in physiological solutions by liquid chromatography (HPLC).
Int J Pharm 1995 ; 115: 113-117.
3201 文献 Dice JE.
Physical compatibility of alprostadil with commonly used IV solutions and medications in the neonatal intensive care unit.
J Pediatr Pharmacol Ther 2006 ; 11:233?6.
3448 文献 Vieillard V, Eychenne N, Astier A, Yiou R, Deffaux C, Paul M.
Physicochemical stability study of a new Trimix formulation for treatment of erectile dysfunction.
Ann Pharm Fr 2013 ; 71, 5: 358-363.
3761 书籍 Chavan E.
Etude de la stabilité de solutions de prostaglandine E1 à 48 et 72 heures en vue d'une administration parentérale en continu à des patients de néonatalogie.
Master en pharmacie - University of Geneva 2014
3961 文献 McCluskey S.V,Kirkham K,Munson J.M.
Stability of Alprostadil in 0.9% Sodium Chloride Stored in Polyvinyl Chloride Containers.
Int J Pharm Compound 2017 ; 21, 2: 150-153.
4069 文献 Palmero D, Chavan E, Berger-Gryllaki M, Tolsa J-F, Di Paolo E, Pannatier A, Henry H, Sadeghipour F.
Stability of prostaglandin E1 solutions stored in polypropylene syringes for continuous intravenous administration to newborns.
EJHP 2018 ; 25, e2
4389 文献 Côté K, Correal F, Metras M.E, Friciu M, Forest J.M, Leclair G.
Compatibilité physique des médicaments administrés en Y aux soins intensifs, en particulier la dexmédétomidine, le lévosimendan et la kétamine.
Pharmactuel 2019 ;52,4:206-213
4491 文献 De Basagoiti A, Katsumiti A, Abascal S, Bustinza A, López-Giménez L.R, Pilar P, De Miguel M, Campino A.
Physical compatibility of alprostadil with selected drugs commonly used in the neonatal intensive care units.
Eur J Pedia 2020
4507 文献 Ross E, Salinas A, Petty K, Her C, Carpenter J.
Compatibility of medications with intravenous lipid emulsions: Effects of simulated Y-site mixing.
Am J Health-Syst Pharm 2020 ;77,23:1980-1985
4543 文献 Senarathna G, Strunk T, Petrovski M, Batty K.
Physical compatibility of pentoxifylline and intravenous medications.
Archives of Disease in Childhood 2018 ;104:292–295.
4570 文献 Greenhill K, Hornsby E, Gorman G.
Investigations of Physical Compatibilities of Commonly Used Intravenous Medications with and without Parenteral Nutrition in Pediatric Cardiovascular Intensive Care Unit Patients.
Pharmaceuticals 2019
4651 文献 De Basagoiti A, Katsumiti A, Abascal S, Bustinza A, López-Giménez L.R, Pascual P, De Miguel M, Campino A.
Physical compatibility of alprostadil with selected drugs commonly used in the neonatal intensive care units.
Eur J Pedia 2021 ;180,1169–1176.
4837 文献 De Silva, D.T.N Petrovski M, Strunk T, Mukadam N, Page‑Sharp N, Moore B.R, Batty K.T.
Physicochemical compatibility of caffeine citrate and caffeine base injections with parenteral medications used in neonatal intensive care settings.
Eur J Clin Pharmacol 2024 ; 80:1079–1087.
4845 文献 De Silva D.T.N, Strunk T, Petrovski M, Page-Sharp M, Moore B.R, Batty K.T.
The Physicochemical Compatibility of Sildenafil Injection with Parenteral Medications Used in Neonatal Intensive Care Settings.
Pharmaceutics 2024 ;1 6, 419.
4954 实验室 ALPROSTADIL INTSEL CHIMOS 0,5 mg/ml, solution injectable - Résumé des caractéristiques du produit
INTSEL CHIMOS 2020

  Mentions Légales