Останнє оновлення :
18/03/2026
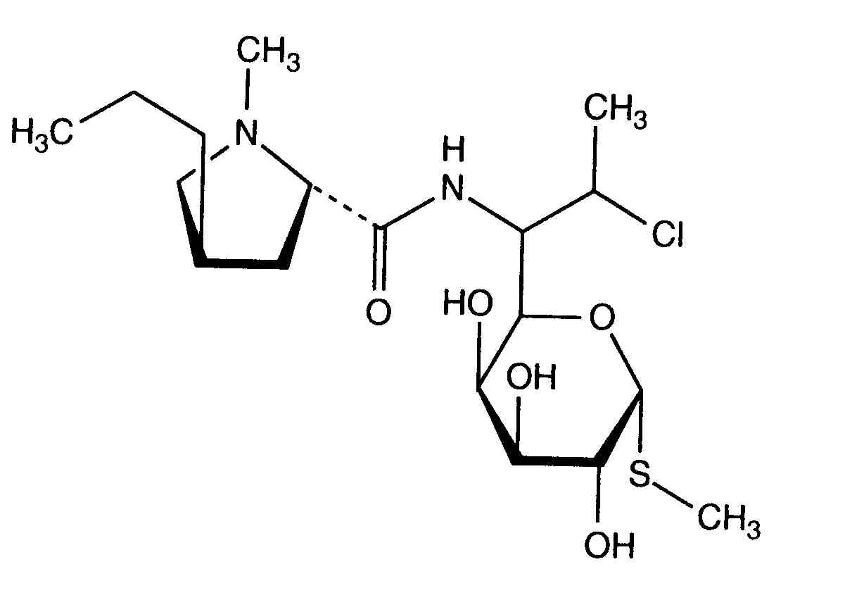
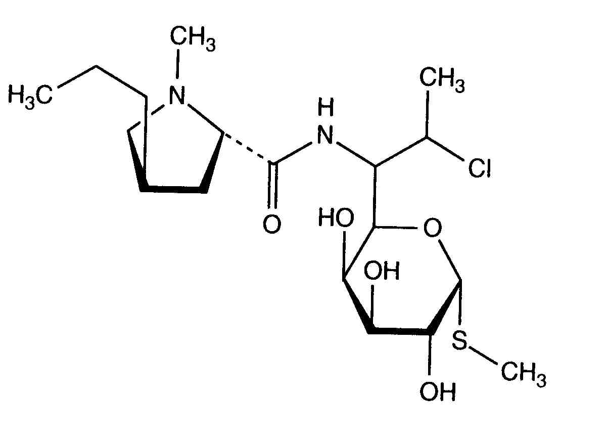
Антибіотик   Clindamycin phosphate  
ін'єкція
Стійкість в розчинах Стійкість сумішей Фактори, що впливають на стабільність Сумісність Шлях введення Список літератури pdf
   Хімічна структура  

Торгова назва   Торгова назва     

Торгові назви є орієнтовними, а склад допоміжних речовин може бути різним залежно від країни та виробника

Biodaclin Мексика
Camyda Індія
Cinbiot Мексика
Cleocin Австрія, Сполучені Штати Америки, Туреччина
Clinamsa Мексика
Clinbac Колумбія, Перу
Clincina Португалія
Clinda-Saar Німеччина
Clindacid Венесуела
Clindacin Малайзія
Clindalaf Аргентина
Clindamicina Іспанія, Італія, Аргентина, Бразилія, Венесуела, Еквадор, Колумбія, Мексика, Перу, Португалія, Чилі
Clindamycin Іран, Австрія, Канада, Німеччина, Норвегія, Румунія, Саудівська Аравія, Сполучені Штати Америки, Швеція
Clindamycin-Hameln Німеччина
Clindamycine Бельгія, Нідерланди, Туніс, Франція
Clindanovag Аргентина
Clindarix Бразилія
Clindasol Німеччина
Clindaval Венесуела
Clindazyn Мексика
Clindo Польща
Clysvic Мексика
Daclin Чилі
Dalacin Єгипет, Індія, Іран, Ірландія, Ісландія, Італія, Австралія, Бельгія, Великобританія, Венесуела, Греція, Данія, Еквадор, Канада, Колумбія, Люксембург, Малайзія, Мексика, Нідерланди, Нова Зеландія, Норвегія, Об'єднані Арабські Емірати, Польща, Саудівська Аравія, Туніс, Угорщина, Фінляндія, Чилі, Швейцарія, Швеція
Dalacine Туніс, Франція
Daladic Іран
Dalcinex Індія
Damclid Індія
Damicin Колумбія, Мексика
Damicine Колумбія
Dolarclin Колумбія
Euroclin Еквадор, Колумбія
Gynasafe Індія
Indamid Мексика
Klimicin Польща
Klindan Туреччина
Klindaver Туреччина
Lanacine Австрія
Lincocin Малайзія
Lincosa Малайзія
Meneklin Туреччина
Sobelin Німеччина
Tidact Малайзія

Фактори, що впливають на стабільність   ін'єкція   Фактори, що впливають на стабільність : Clindamycin phosphate        
Список літератури
pH pH >7 Спонукає хімічна деградація 3526

  Mentions Légales