zadnja posodobitev :
18/03/2026
Antibiotik   Clindamycin phosphate  
Brizgalka
Stabilnost raztopine Stabilnost mešanice Faktorji, ki vplivajo na stabilnost Kompatibilnost način aplikacije Viri pdf
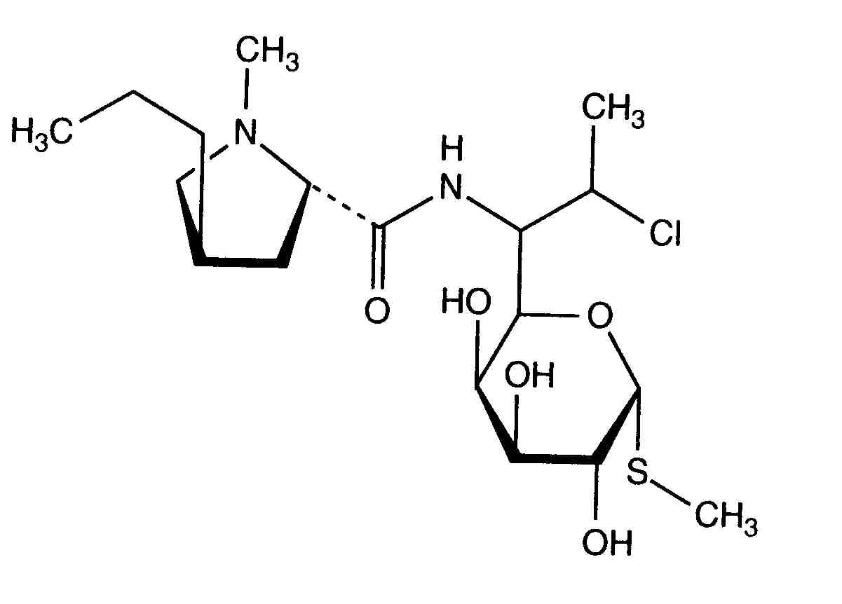
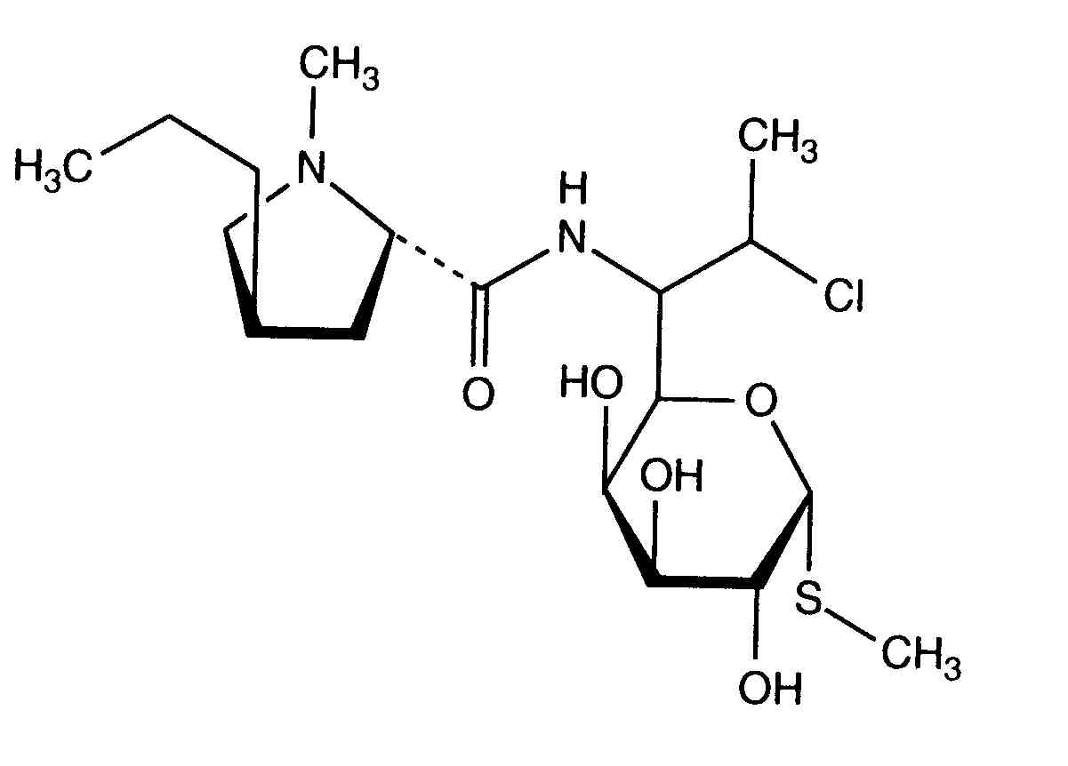
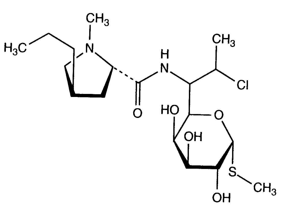
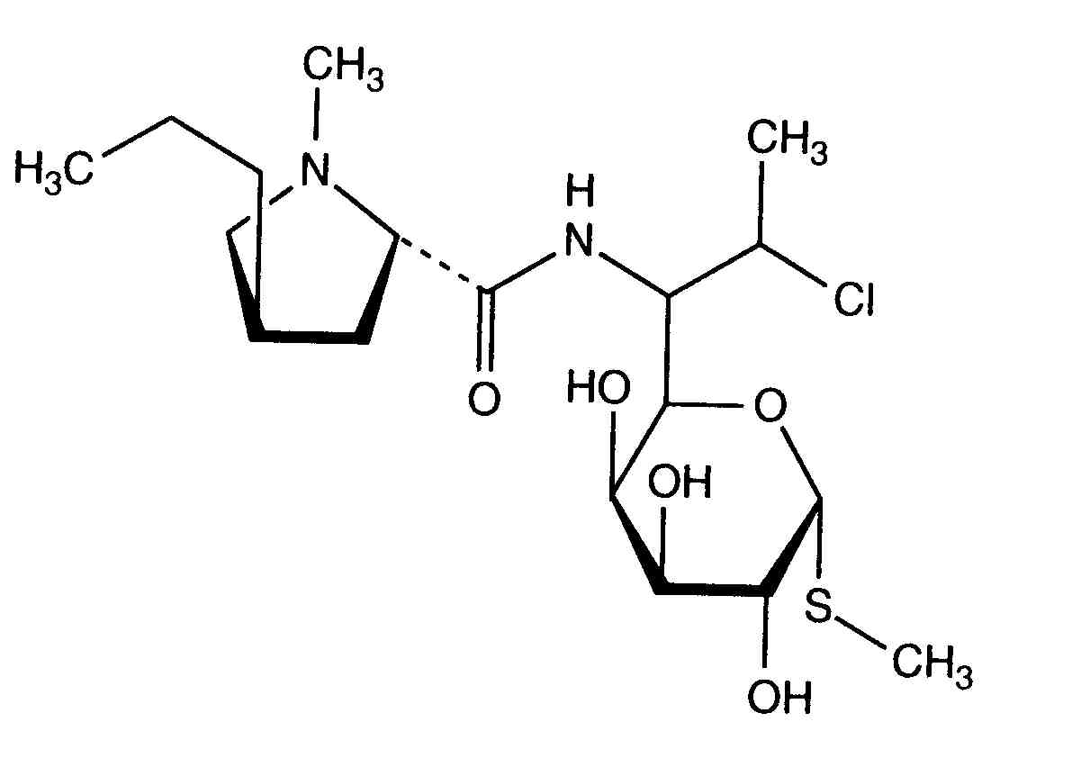
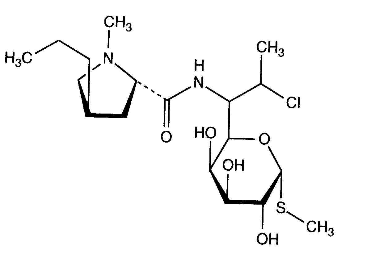
   Kemična formula  

Lastniško ime   Lastniško ime     

Sestava pomožnih snovi je med paralelami lahko različna

Biodaclin Mehika
Camyda Indija
Cinbiot Mehika
Cleocin Avstrija, Turčija, Združene države Amerike
Clinamsa Mehika
Clinbac Kolumbija, Peru
Clincina Portugalska
Clinda-Saar Nemčija
Clindacid Venezuela
Clindacin Malezija
Clindalaf Argentina
Clindamicina Argentina, Brazilija, Čile, Ekvador, Italija, Kolumbija, Mehika, Peru, Portugalska, Španija, Venezuela
Clindamycin Avstrija, Iran, Kanada, Nemčija, Norveška, Romunija, Savdska Arabija, Švedska, Združene države Amerike
Clindamycin-Hameln Nemčija
Clindamycine Belgija, Francija, Nizozemska, Tunizija
Clindanovag Argentina
Clindarix Brazilija
Clindasol Nemčija
Clindaval Venezuela
Clindazyn Mehika
Clindo Poljska
Clysvic Mehika
Daclin Čile
Dalacin Avstralija, Belgija, Čile, Danska, Egipt, Ekvador, Finska, Grčija, Indija, Iran, Irska, Islandija, Italija, Kanada, Kolumbija, Luksemburg, Madžarska, Malezija, Mehika, Nizozemska, Norveška, nova Zelandija, Poljska, Savdska Arabija, Švedska, Švica, Tunizija, Velika Britanija, Venezuela, Združeni arabski emirati
Dalacine Francija, Tunizija
Daladic Iran
Dalcinex Indija
Damclid Indija
Damicin Kolumbija, Mehika
Damicine Kolumbija
Dolarclin Kolumbija
Euroclin Ekvador, Kolumbija
Gynasafe Indija
Indamid Mehika
Klimicin Poljska
Klindan Turčija
Klindaver Turčija
Lanacine Avstrija
Lincocin Malezija
Lincosa Malezija
Meneklin Turčija
Sobelin Nemčija
Tidact Malezija

Faktorji, ki vplivajo na stabilnost   Brizgalka   Faktorji, ki vplivajo na stabilnost : Clindamycin phosphate        
Viri
pH pH >7 Inducirati Degradacija 3526

  Mentions Légales