Dernière mise à jour :
18/03/2026
Antibiotique   Clindamycin phosphate  
injectable
Stabilité des solutions Stabilité en mélange Facteur influençant la stabilité Compatibilités Voie d’administration Bibliographie pdf
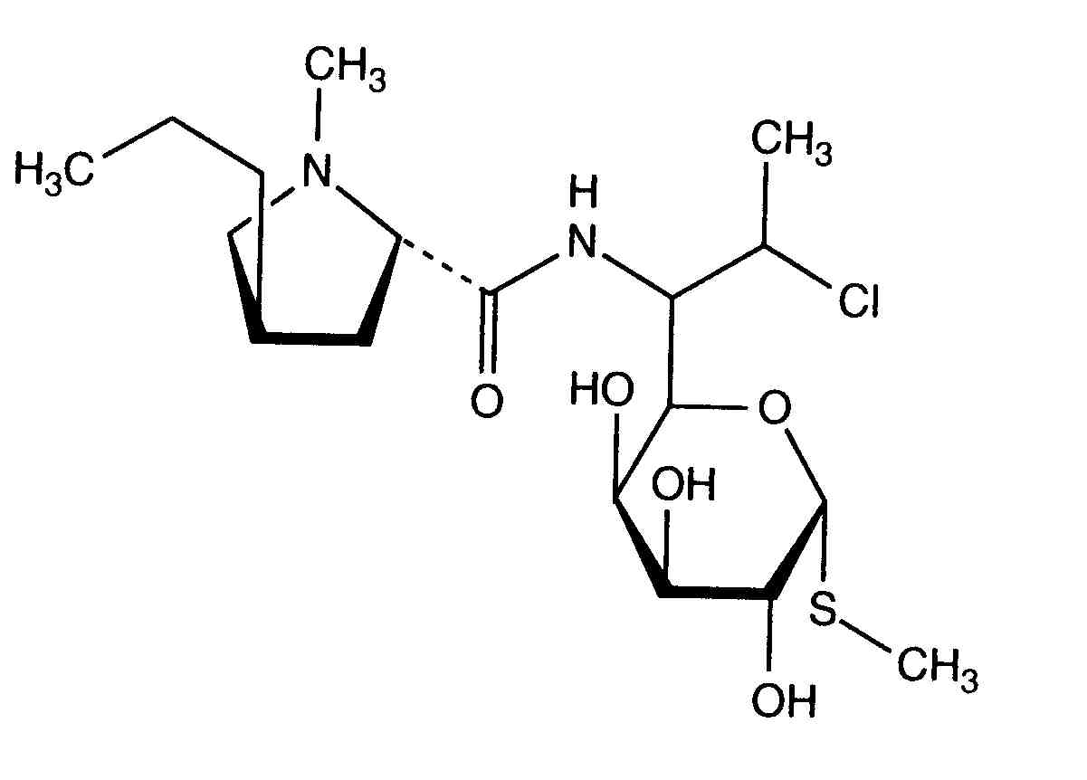
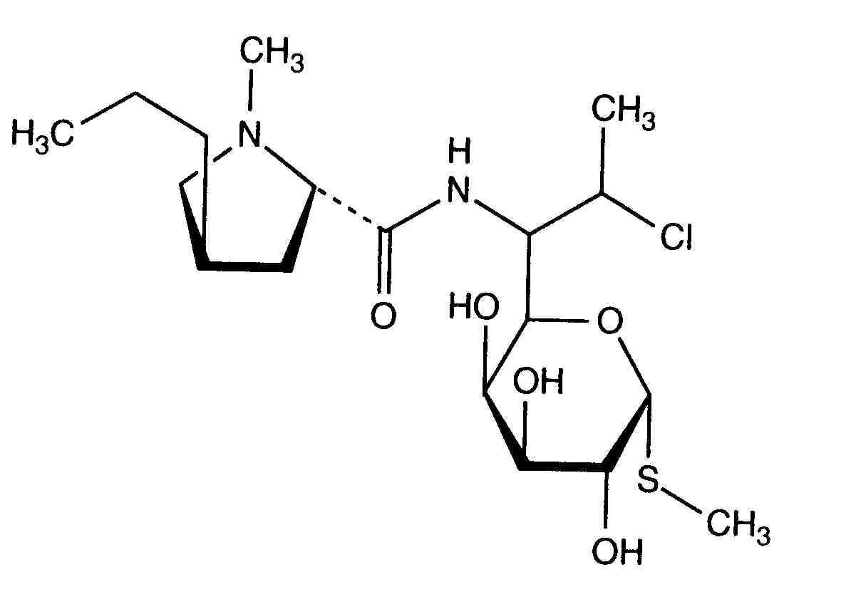
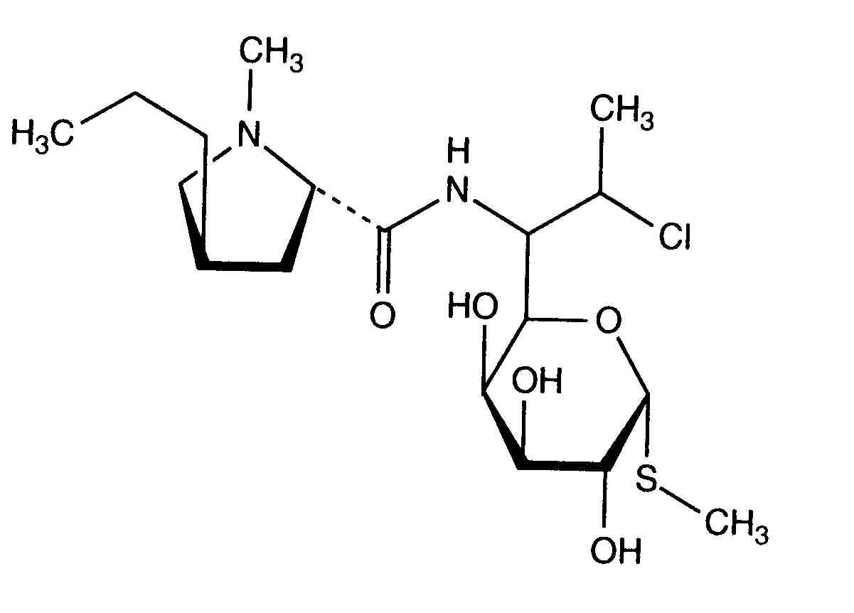
   Structure chimique  

Noms commerciaux   Noms commerciaux     

Les noms commerciaux sont donnés à titre indicatif et la composition en excipients peut être différente selon les pays et selon les laboratoires

Biodaclin Mexique
Camyda Inde
Cinbiot Mexique
Cleocin Autriche, Etats Unis d’Amérique, Turquie
Clinamsa Mexique
Clinbac Colombie, Pérou
Clincina Portugal
Clinda-Saar Allemagne
Clindacid Vénézuela
Clindacin Malaisie
Clindalaf Argentine
Clindamicina Argentine, Brésil, Chili, Colombie, Equateur, Espagne, Italie, Mexique, Pérou, Portugal, Vénézuela
Clindamycin Allemagne, Arabie Saoudite, Autriche, Canada, Etats Unis d’Amérique, Iran, Norvège, Roumanie, Suède
Clindamycin-Hameln Allemagne
Clindamycine Belgique, France, Pays bas, Tunisie
Clindanovag Argentine
Clindarix Brésil
Clindasol Allemagne
Clindaval Vénézuela
Clindazyn Mexique
Clindo Pologne
Clysvic Mexique
Daclin Chili
Dalacin Arabie Saoudite, Australie, Belgique, Canada, Chili, Colombie, Danemark, Egypte, Emirats Arabes Unis , Equateur, Finlande, Grande Bretagne, Grèce, Hongrie, Inde, Iran, Irlande, Islande, Italie, Luxembourg, Malaisie, Mexique, Norvège, Nouvelle Zélande, Pays bas, Pologne, Suède, Suisse, Tunisie, Vénézuela
Dalacine France, Tunisie
Daladic Iran
Dalcinex Inde
Damclid Inde
Damicin Colombie, Mexique
Damicine Colombie
Dolarclin Colombie
Euroclin Colombie, Equateur
Gynasafe Inde
Indamid Mexique
Klimicin Pologne
Klindan Turquie
Klindaver Turquie
Lanacine Autriche
Lincocin Malaisie
Lincosa Malaisie
Meneklin Turquie
Sobelin Allemagne
Tidact Malaisie

Facteur influençant la stabilité   injectable   Facteur influençant la stabilité : Clindamycin phosphate        
Bibliographie
pH pH >7 Provoque Dégradation 3526

  Mentions Légales