آخر تحديث :
18/03/2026
مضاد حيوي   Clindamycin phosphate  
حقن
الاستقرار في حلول استقرار مخاليط العوامل التي تؤثر على الاستقرار التوافق طريقة التعاطي مراجع pdf
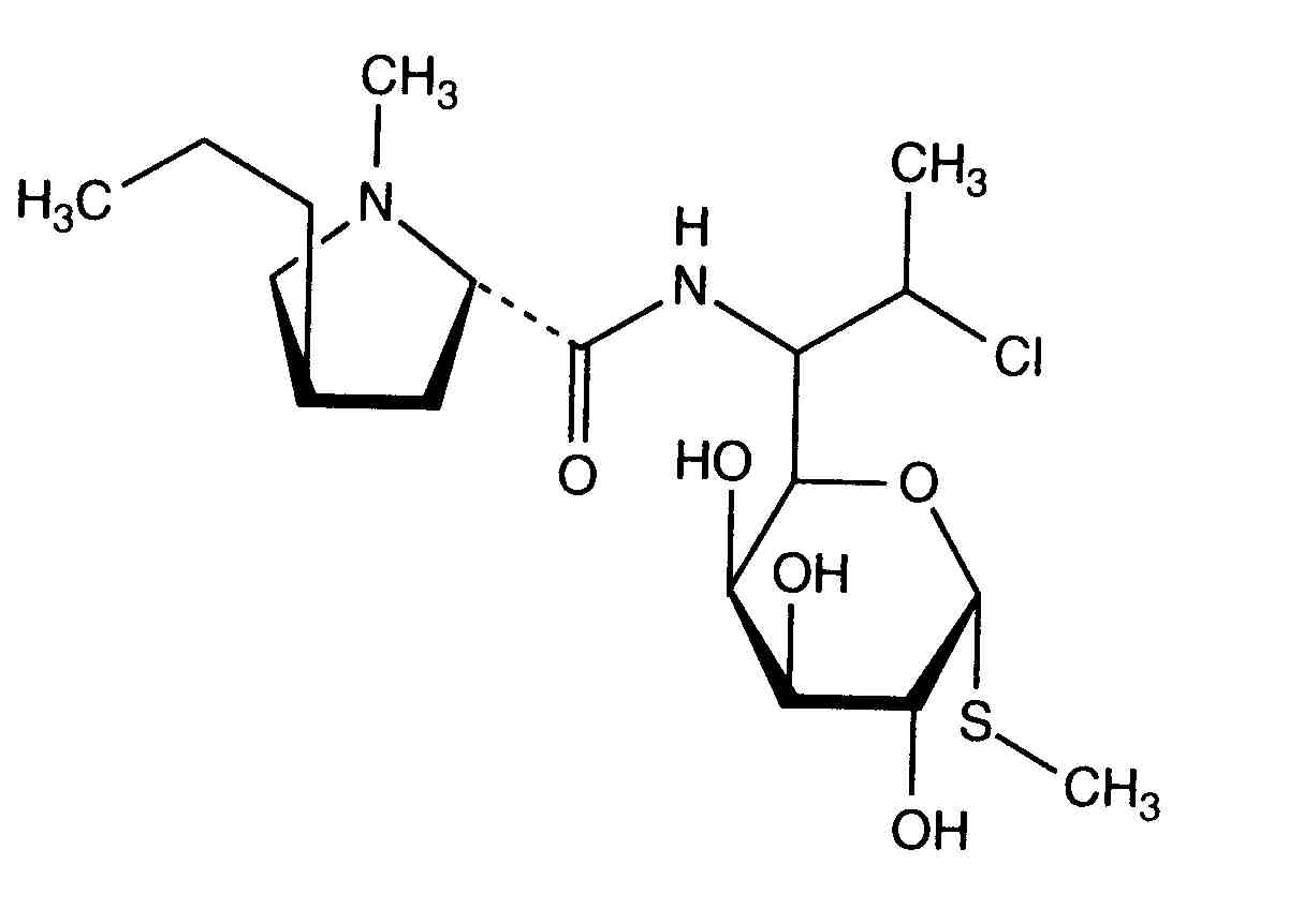
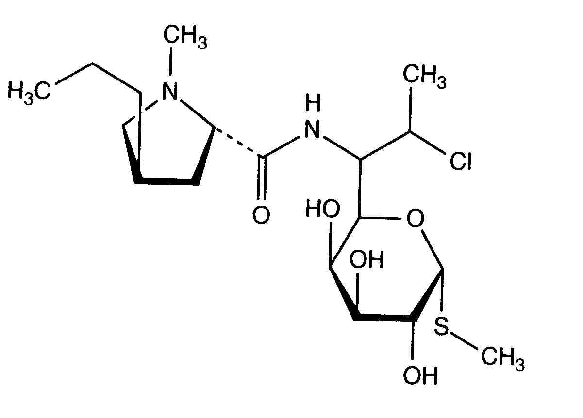
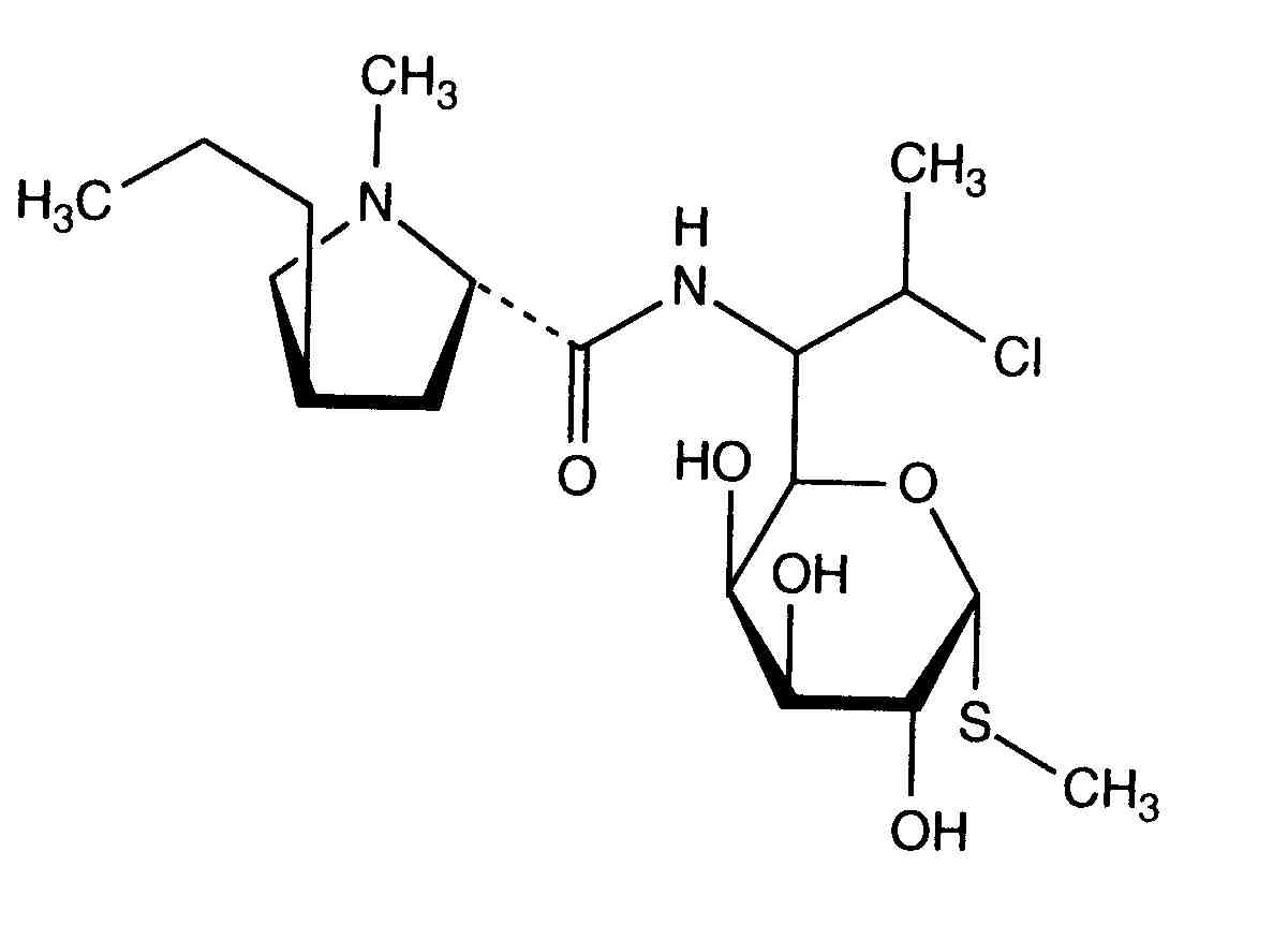
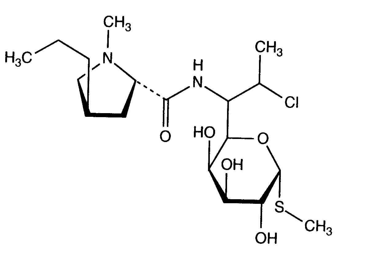
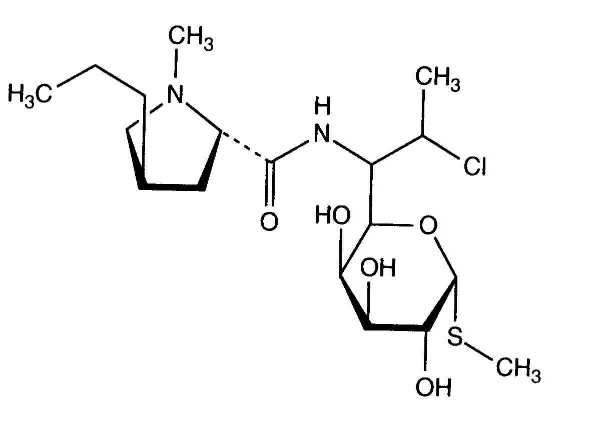
   التركيب الكيميائي  

حجز الاسم التجاري   حجز الاسم التجاري     

تحذير الأسماء التجاريه المختلفه قد تحتوي علي محتوي إضافات مختلفة حسب الدوله و المعمل

Biodaclin المكسيك
Camyda الهند
Cinbiot المكسيك
Cleocin النمسا, الولايات المتحدة, تركيا
Clinamsa المكسيك
Clinbac بيرو, كولومبيا
Clincina البرتغال
Clinda-Saar ألمانيا
Clindacid فنزويلا
Clindacin ماليزيا
Clindalaf الأرجنتين
Clindamicina إسبانيا, إيطاليا, الأرجنتين, الإكوادور, البرازيل, البرتغال, المكسيك, بيرو, تشيلي, فنزويلا, كولومبيا
Clindamycin ألمانيا, إيران, السويد, العربية السعودية, النرويج, النمسا, الولايات المتحدة, رومانيا, كندا
Clindamycin-Hameln ألمانيا
Clindamycine بلجيكا, تونس, فرنسا, هولندا
Clindanovag الأرجنتين
Clindarix البرازيل
Clindasol ألمانيا
Clindaval فنزويلا
Clindazyn المكسيك
Clindo بولندا
Clysvic المكسيك
Daclin تشيلي
Dalacin أستراليا, أيسلندا, إيران, إيطاليا, الإكوادور, الإمارات العربية المتحدة, الدنمارك, السويد, العربية السعودية, المكسيك, النرويج, الهند, ايرلندا, بريطانيا العظمي, بلجيكا, بولندا, تشيلي, تونس, زيلاندا الجديدة, سويسرا, فنزويلا, فنلندا, كندا, كولومبيا, لوكسمبورغ, ماليزيا, مصر, هنغاريا, هولندا, يونان
Dalacine تونس, فرنسا
Daladic إيران
Dalcinex الهند
Damclid الهند
Damicin المكسيك, كولومبيا
Damicine كولومبيا
Dolarclin كولومبيا
Euroclin الإكوادور, كولومبيا
Gynasafe الهند
Indamid المكسيك
Klimicin بولندا
Klindan تركيا
Klindaver تركيا
Lanacine النمسا
Lincocin ماليزيا
Lincosa ماليزيا
Meneklin تركيا
Sobelin ألمانيا
Tidact ماليزيا

العوامل التي تؤثر على الاستقرار   حقن   العوامل التي تؤثر على الاستقرار : Clindamycin phosphate        
مراجع
pH pH >7 الحث انحلال 3526

  Mentions Légales