Son güncelleme :
18/03/2026
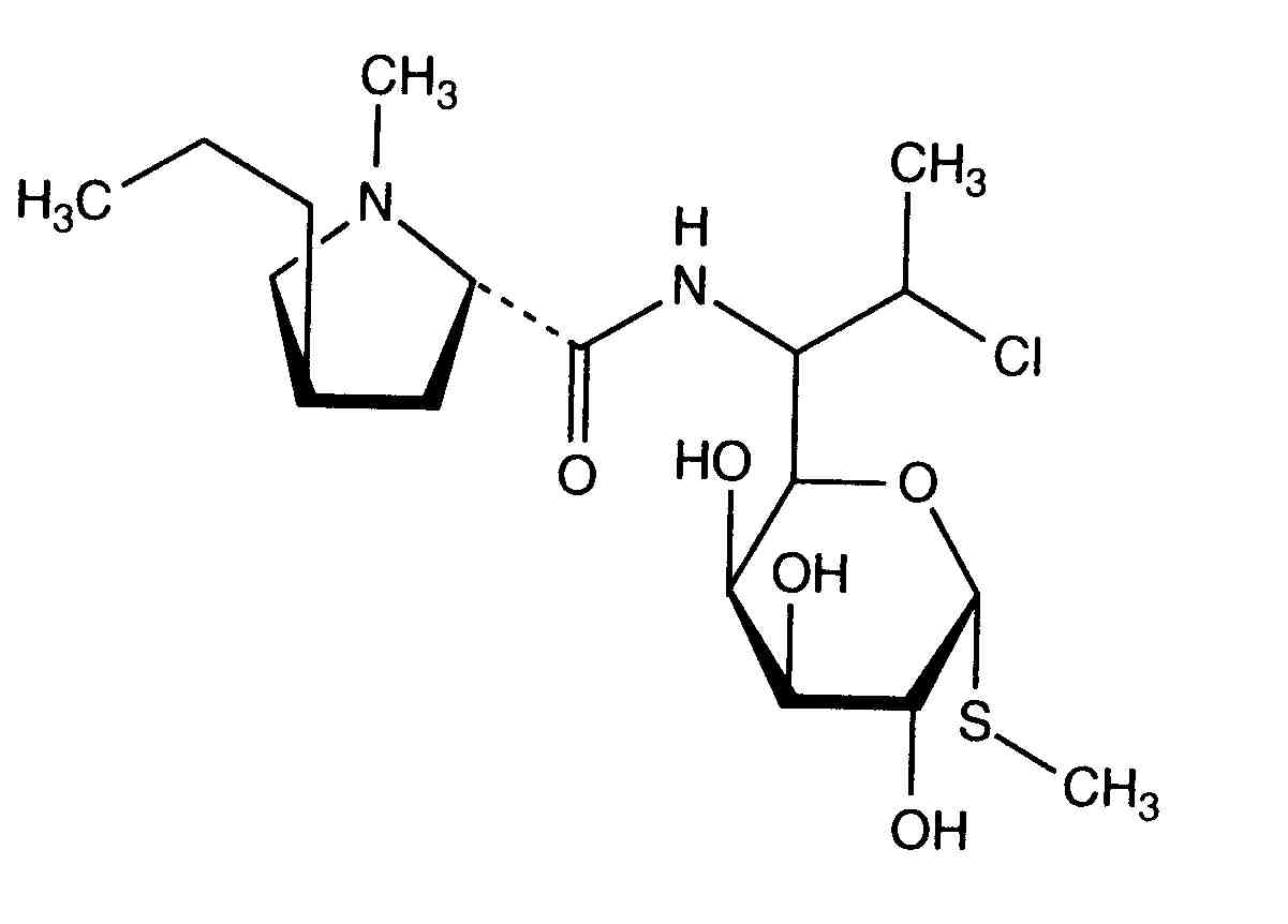
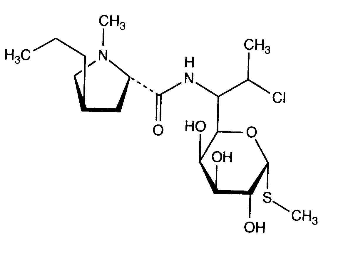
Antibiyotik   Clindamycin phosphate  
Enjeksiyon
Çözeltilerin stabilitesi Karışımlardaki stabilitesi Stabiliteyi etkileyen faktörler Uyumluluk Uygulama yöntemi Kaynaklar pdf
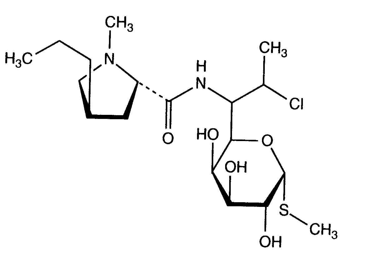
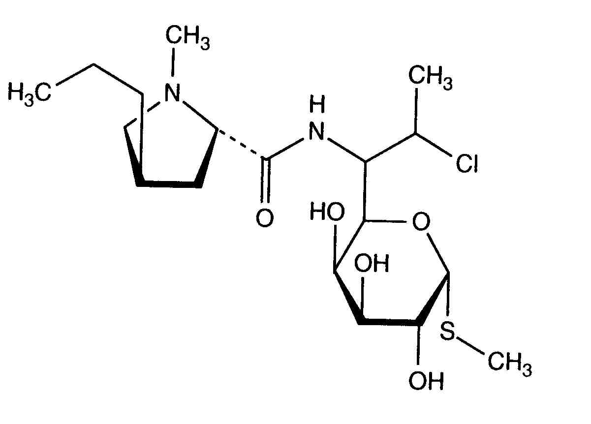
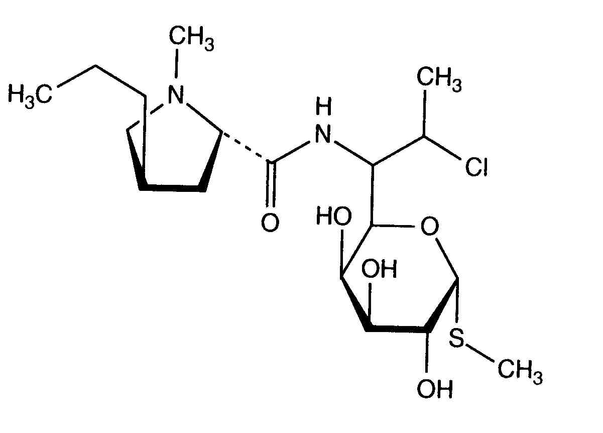
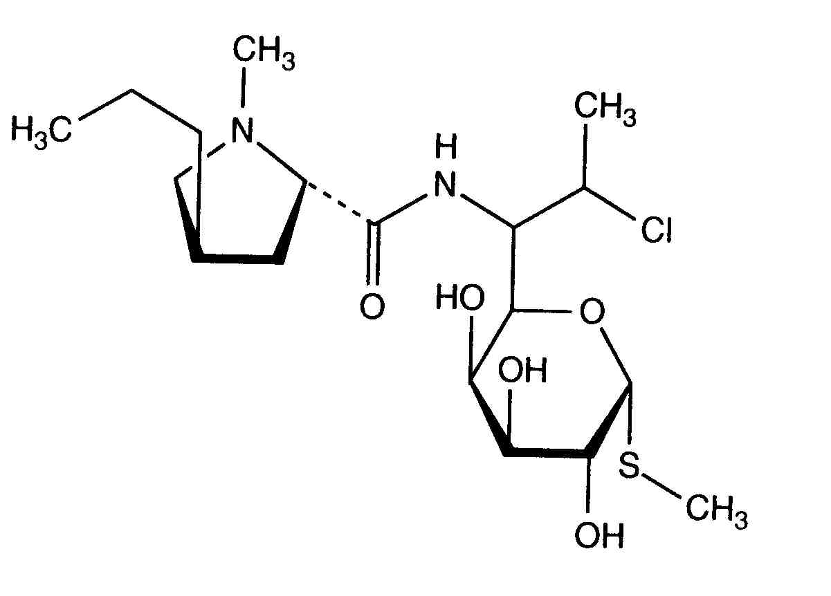
   Kimyasal yapı   

Ticari isim   Ticari isim     

Trade names are indicative and excipients composition can be different depending on the country and manufacturers

Biodaclin Meksika
Camyda Hindistan
Cinbiot Meksika
Cleocin Amerika Birleşik Devletleri, Avusturya, Türkiye
Clinamsa Meksika
Clinbac Kolombiya, Peru
Clincina Portekiz
Clinda-Saar Almanya
Clindacid Venezuela
Clindacin Malezya
Clindalaf Arjantin
Clindamicina Arjantin, Brezilya, Ekvador, İspanya, İtalya, Kolombiya, Meksika, Peru, Portekiz, Şili, Venezuela
Clindamycin Almanya, Amerika Birleşik Devletleri, Avusturya, İran, İsveç, Kanada, Norveç, Romanya, Suudi Arabistan
Clindamycin-Hameln Almanya
Clindamycine Belçika, Fransa, Hollanda, Tunus
Clindanovag Arjantin
Clindarix Brezilya
Clindasol Almanya
Clindaval Venezuela
Clindazyn Meksika
Clindo Polonya
Clysvic Meksika
Daclin Şili
Dalacin Avustralya, Belçika, Birleşik Arap Emirlikleri, Büyük Britanya, Danimarka, Ekvador, Finlandiya, Hindistan, Hollanda, İran, İrlanda, İsveç, İsviçre, İtalya, İzlanda, Kanada, Kolombiya, Lüksemburg, Macaristan, Malezya, Meksika, Mısır, Norveç, Polonya, Şili, Suudi Arabistan, Tunus, Venezuela, yeni Zelanda, Yunanistan
Dalacine Fransa, Tunus
Daladic İran
Dalcinex Hindistan
Damclid Hindistan
Damicin Kolombiya, Meksika
Damicine Kolombiya
Dolarclin Kolombiya
Euroclin Ekvador, Kolombiya
Gynasafe Hindistan
Indamid Meksika
Klimicin Polonya
Klindan Türkiye
Klindaver Türkiye
Lanacine Avusturya
Lincocin Malezya
Lincosa Malezya
Meneklin Türkiye
Sobelin Almanya
Tidact Malezya

Stabiliteyi etkileyen faktörler    Enjeksiyon    Stabiliteyi etkileyen faktörler : Clindamycin phosphate        
Kaynaklar
pH pH >7 İndükler Parçalanma 3526

  Mentions Légales