Ultimele actualizari :
18/03/2026
Antibiotic   Clindamycin phosphate  
Injectabil
Stabilitatea in solutie Stabilitatea in amestec Factorii care influenteaza stabilitatea Compatibilitate Microunde Bibliografie pdf
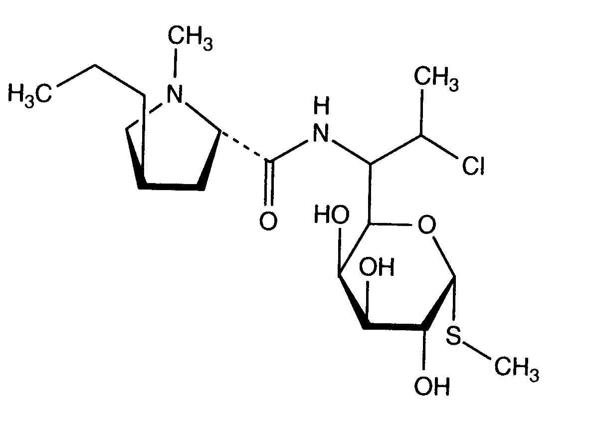
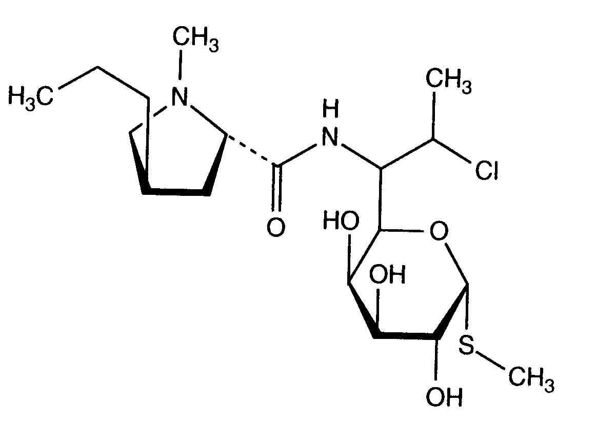
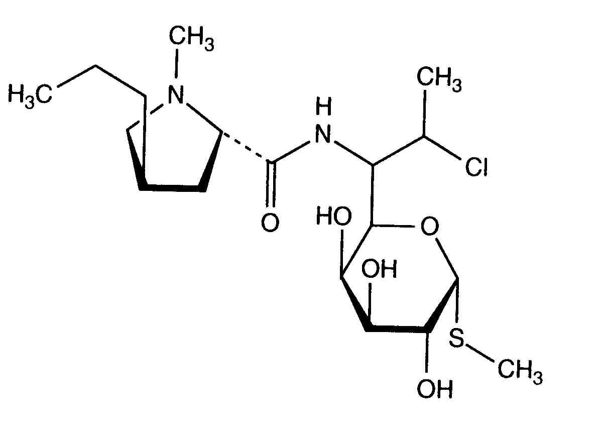
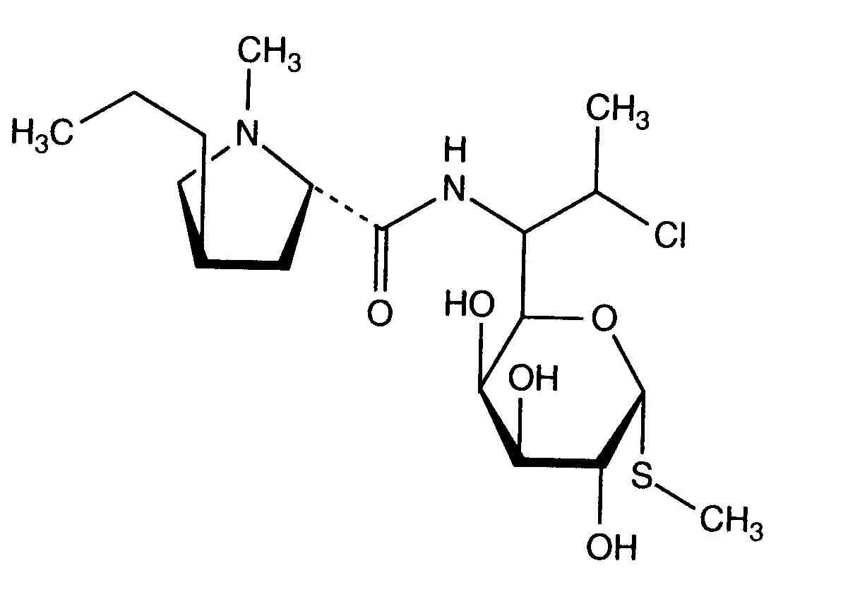
   Formula chimica  

Denumirea comerciala   Denumirea comerciala     

Trade names are indicative and excipients composition can be different depending on the country and manufacturers

Biodaclin Mexic
Camyda India
Cinbiot Mexic
Cleocin Austria, SUA, Turcia
Clinamsa Mexic
Clinbac Columbia, Peru
Clincina Portugalia
Clinda-Saar Germania
Clindacid Venezuela
Clindacin Malaezia
Clindalaf Argentina
Clindamicina Argentina, Brazilia, Chilli, Columbia, Ecuador, Italia, Mexic, Peru, Portugalia, Spania, Venezuela
Clindamycin Arabia Saudita, Austria, Canada, Germania, Iran, Norvegia, Romania, SUA, Suedia
Clindamycin-Hameln Germania
Clindamycine Belgia, Franta, Olanda, Tunisia
Clindanovag Argentina
Clindarix Brazilia
Clindasol Germania
Clindaval Venezuela
Clindazyn Mexic
Clindo Polonia
Clysvic Mexic
Daclin Chilli
Dalacin Arabia Saudita, Australia, Belgia, Canada, Chilli, Columbia, Danemarca, Ecuador, Egipt, Elvetia, Emiratele Arabe Unite, Finlanda, Grecia, India, Iran, Irlanda, Islanda, Italia, Luxemburg, Malaezia, Marea Britanie, Mexic, Norvegia, noua Zeelandă, Olanda, Polonia, Suedia, Tunisia, Ungaria, Venezuela
Dalacine Franta, Tunisia
Daladic Iran
Dalcinex India
Damclid India
Damicin Columbia, Mexic
Damicine Columbia
Dolarclin Columbia
Euroclin Columbia, Ecuador
Gynasafe India
Indamid Mexic
Klimicin Polonia
Klindan Turcia
Klindaver Turcia
Lanacine Austria
Lincocin Malaezia
Lincosa Malaezia
Meneklin Turcia
Sobelin Germania
Tidact Malaezia

Factorii care influenteaza stabilitatea   Injectabil   Factorii care influenteaza stabilitatea : Clindamycin phosphate        
Bibiografie
pH pH >7 Provoaca Degradare 3526

  Mentions Légales