viimane versioon :
05/12/2025
antibiootikum   Clindamycin phosphate  
Süsteravim
Stabiilsus lahustes Stabiilsust mõjutavad tegurid stabiilsust mõjutavad faktorid Sobimatus Manustamis viis Viited pdf
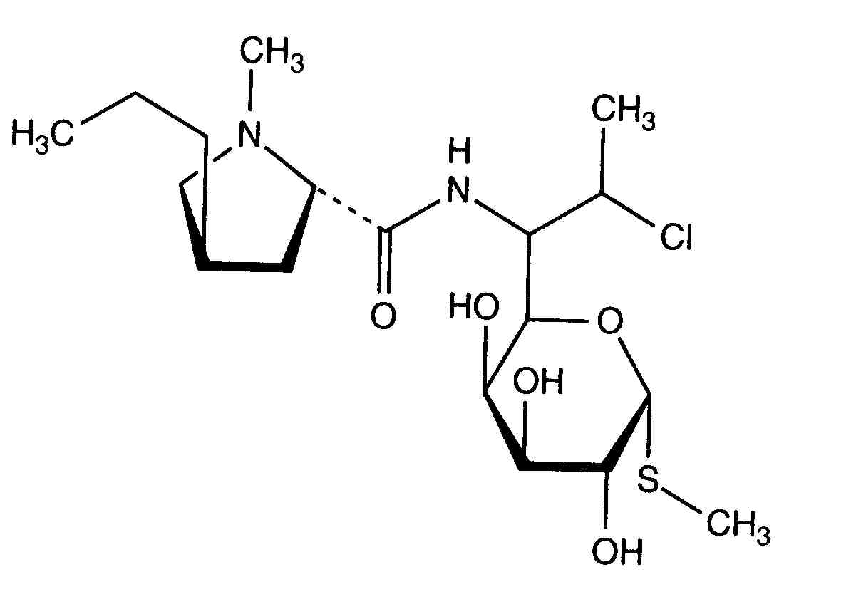
   keemiline struktuur  

Kaubanduslikud nimed erinevates maades   Kaubanduslikud nimed erinevates maades     

Preparaatide nimed on näitlikud ja abianete sisaldus võib erineda sõltuvalt riigist ja laborist

Biodaclin Mehhiko
Camyda India
Cinbiot Mehhiko
Cleocin Ameerika ühendriigid, Austria, Türgi
Clinamsa Mehhiko
Clinbac Kolumbia, Maroko
Clincina Portugal
Clinda-Saar Saksamaa
Clindacid Venetsueela
Clindacin Malaisia
Clindalaf Argentiina
Clindamicina Argentiina, Brasiilia, Ecuador, Hispaania, Itaalia, Kolumbia, Maroko, Mehhiko, Portugal, Tšiili, Venetsueela
Clindamycin Ameerika ühendriigid, Austria, Iraan, Kanada, Norra, Rootsi, Rumeenia, Saksamaa, Saudi Araabia
Clindamycin-Hameln Saksamaa
Clindamycine Belgia, Holland, Prantsusmaa, Tuneesia
Clindanovag Argentiina
Clindarix Brasiilia
Clindasol Saksamaa
Clindaval Venetsueela
Clindazyn Mehhiko
Clindo Poola
Clysvic Mehhiko
Daclin Tšiili
Dalacin Araabia Ühendemiraadid, Austraalia, Belgia, Ecuador, Egiptus, Holland, Iirimaa, India, Iraan, Island, Itaalia, Kanada, Kolumbia, Kreeka, Luksemburg, Malaisia, Mehhiko, Norra, Poola, Rootsi, Saudi Araabia, Soome, Suurbritannia, Sveits, Taani, Tšiili, Tuneesia, Ungari, uus-Meremaa, Venetsueela
Dalacine Prantsusmaa, Tuneesia
Daladic Iraan
Dalcinex India
Damclid India
Damicin Kolumbia, Mehhiko
Damicine Kolumbia
Dolarclin Kolumbia
Euroclin Ecuador, Kolumbia
Gynasafe India
Indamid Mehhiko
Klimicin Poola
Klindan Türgi
Klindaver Türgi
Lanacine Austria
Lincocin Malaisia
Lincosa Malaisia
Meneklin Türgi
Sobelin Saksamaa
Tidact Malaisia
Viited   Süsteravim   Viited : Clindamycin phosphate  
tüüp avaldamine
3 ajaleht Trissel LA, Martinez JF.
Compatibility of amifostine with selected drugs during simulated Y-site administration.
Am J Health-Syst Pharm 1995 ; 52: 2208-2212.
59 ajaleht Trissel LA, Gilbert DL, Martinez JF, Kim MC.
Compatibility of remifentanil hydrochloride with selected drugs during simulated Y-site administration.
Am J Health-Syst Pharm 1997 ; 54: 2192-2196.
63 ajaleht Marquardt Ed, Lam SSY.
Visual compatibility of fentanyl citrate with selected drugs during simulated Y-site injection.
Am J Hosp Pharm 1994 ; 51: 811-812.
73 ajaleht Lor E, Takagi J.
Visual compatibility of foscarnet with other injectable drugs.
Am J Hosp Pharm 1990 ; 47: 157-159.
80 ajaleht Nahata MC, Morosco RS, Hipple TF.
Stability of cimetidine hydrochloride and of clindamycin phosphate in water for injection stored in glass vials at two temperatures.
Am J Hosp Pharm 1993 ; 50: 2559-2561.
81 ajaleht Trissel LA, Martinez JF.
Compatibility of piperacillin sodium plus tazobactam with selected drugs during simulated Y-site injection.
Am J Hosp Pharm 1994 ; 51: 672-678.
84 ajaleht Trissel LA, Martinez JF.
Visual, turbidimetric, and particle-content assessment of compatibility of vinorelbine tartrate with selected drugs during simulated Y-site injection.
Am J Hosp Pharm 1994 ; 51: 495-499.
99 ajaleht Trissel LA, Martinez JF.
Compatibility of aztreonam with selected drugs during simulated Y-site administration.
Am J Health-Syst Pharm 1995 ; 52: 1086-1090.
169 ajaleht Trissel LA, Martinez JF.
Physical compatibility of melphalan with selected drugs during simulated Y-site administration.
Am J Hosp Pharm 1993 ; 50: 2359-2363.
176 ajaleht Mantong ML, Marquardt ED.
Visual compatibility of midazolam hydrochloride with selected drugs during simulated Y-site injection.
Am J Health-Syst Pharm 1995 ; 52: 2567-2568.
182 ajaleht Trissel LA, Gilbert DL, Martinez JF.
Compatibility of granisetron hydrochloride with selected drugs during simulated Y-site administration.
Am J Health-Syst Pharm 1997 ; 54: 56-60.
198 ajaleht Gayed AA, Kheshary PR, Hinkle RL.
Visual compatibility of diltiazem injection with various diluents and medications during simulated Y-site injection.
Am J Health-Syst Pharm 1995 ; 52: 516-520.
244 ajaleht Trissel LA, Martinez JF.
Compatibility of filgrastim with selected drugs during simulated Y-site administration.
Am J Hosp Pharm 1994 ; 51: 1907-1913.
249 ajaleht Trissel LA, Martinez JF.
Compatibility of thiotepa (lyophilized) with selected drugs during simulated Y-site administration.
Am J Health-Syst Pharm 1996 ; 53: 1041-1045.
251 ajaleht Trissel LA, Gilbert DL, Martinez JF.
Compatibility of doxorubicin hydrochloride liposome injection with selected other drugs during simulated Y-site administration.
Am J Health-Syst Pharm 1997 ; 54: 2708-2713.
253 ajaleht Trissel LA, Chandler SW, Folstad JT.
Visual compatibility of amsacrine with selected drugs during simulated Y-site injection.
Am J Hosp Pharm 1990 ; 47: 2525-2528.
256 ajaleht Inagaki K, Takagi J, Lor E, Lee KJ, Nii L, Gill MA.
Stability of fluconazole in commonly used intravenous antibiotic solutions.
Am J Hosp Pharm 1993 ; 50: 1206-1208.
280 ajaleht Allen LV, Stiles ML, Prince SJ, Sylvestri MF.
Stability of cefpirome sulfate in the presence of commonly used intensive care drugs during simulated Y-site injection.
Am J Health-Syst Pharm 1995 ; 52: 2427-2433.
299 ajaleht Trissel LA, Martinez JF, Gilbert DL.
Compatibility of cisatracurium besylate with selected drugs during simulated Y-site administration.
Am J Health-Syst Pharm 1997 ; 54: 1735-1741.
300 ajaleht Trissel LA, Gilbert DL, Martinez JF.
Compatibility of propofol injectable emulsion with selected drugs during simulated Y-site administration.
Am J Health-Syst Pharm 1997 ; 54: 1287-1292.
301 ajaleht Trissel LA, Gilbert DL, Martinez JF, Baker MB, Walter WV, Mirtallo JM.
Compatibility of parenteral nutrient solutions with selected drugs during simulated Y-site administration.
Am J Health-Syst Pharm 1997 ; 54: 1295-1300.
307 ajaleht Trissel LA, Martinez JF.
Compatibility of allopurinol sodium with selected drugs during simulated Y-site administration.
Am J Hosp Pharm 1994 ; 51: 1792-1799.
317 ajaleht Kershaw BP, Monnier HL, Mason JH.
Visual compatibility of premixed theophylline or heparin with selected drugs for IV administration.
Am J Hosp Pharm 1993 ; 50: 1360-1362.
334 ajaleht Trissel LA, Tramonte SM, Grilley BJ.
Visual compatibility of ondansetron hydrochloride with selected drugs during simulated Y-site injection.
Am J Hosp Pharm 1991 ; 48: 988-992.
335 ajaleht Trissel LA, Bready BB, Kwan JW, Santiago NM.
Visual compatibility of sargramostim with selected antineoplasic agents, anti-infectives, or other drugs during simulated Y-site injection.
Am J Hosp Pharm 1992 ; 49: 402-406.
336 ajaleht Forman JK, Lachs JR, Souney PF.
Visual compatibility of acyclovir sodium with commonly used intravenous drugs during simulated Y-site injection.
Am J Hosp Pharm 1987 ; 44: 1408-1409.
337 ajaleht Bashaw ED, Amantea MA, Minor JR, Galleli JF.
Visual compatibility of zidovudine with other drugs during simulated Y-site administration.
Am J Hosp Pharm 1988 ; 45: 2532-2533.
384 ajaleht Colucci RD, Cobuzzi LE, Halpern NA.
Visual compatibility of esmolol hydrochloride and various injectable drugs during simulated Y-site injection.
Am J Hosp Pharm 1988 ; 45: 630-632.
385 ajaleht Benedict MK, Roche VF, Banakar UV, Hilleman DE.
Visual compatibility of amiodarone hydrochloride with various antimicrobial agents during simulated Y-site injection.
Am J Hosp Pharm 1988 ; 45: 1117-1118.
386 ajaleht Colucci RD, Cobuzzi LE, Halpern NA.
Visual compatibility of labetalol hydrochloride injection with various injectable drugs during simulated Y-site injection.
Am J Hosp Pharm 1988 ; 45: 1357-1358.
405 ajaleht Nieves-Cordero AL, Luciw HM, Souney PF.
Compatibility of narcotic analgesic solutions with various antibiotics during simulated Y-site injection.
Am J Hosp Pharm 1985 ; 42: 1108-1109.
418 ajaleht Bosso JA, Townsend RJ.
Stability of clindamycin phosphate and ceftizoxime sodium, cefoxitine sodium, cefamandole nafate, or cefazolin sodium in two intravenous solutions.
Am J Hosp Pharm 1985 ; 42: 2211-2214.
419 ajaleht James MJ, Riley CM.
Stability of intravenous admixtures of aztreonam and clindamycin phosphate.
Am J Hosp Pharm 1985 ; 42: 1984-1986.
421 ajaleht Foley PT, Bosso JA, Bair JN, Townsend RJ.
Compatibility of clindamycin phosphate with cefotaxim sodium or netilmicin sulfate in small-volume admixtures.
Am J Hosp Pharm 1985 ; 42: 839-843.
423 ajaleht Mansur JM, Abramowitz PW, Lerner SA, Smith RB, Townsend RJ.
Stability and cost analysis of clindamycin-gentamicin admixtures given every eight hours.
Am J Hosp Pharm 1985 ; 42: 332-335.
432 ajaleht Marble DA, Bosso JA, Townsend RJ.
Stability of clindamycin phosphate with aztreonam, ceftazidime sodium, ceftriaxone sodium, or piperacillin sodium in two intravenous solutions.
Am J Hosp Pharm 1986 ; 43: 1732-1736.
434 ajaleht Goodwin SD, Nix DE, Heyd A, Wilton JH.
Compatibility of ciprofloxacin injection with selected drugs and solutions.
Am J Hosp Pharm 1991 ; 48: 2166-2171.
479 ajaleht Min DI, Brown T, HWang GC.
Visual compatibility of tacrolimus with commonly used drugs during simulated Y-site injection.
Am J Hosp Pharm 1992 ; 49: 2964-2966.
491 ajaleht Turowski RC, Durthaler JM.
Visual compatibility of idarubicin hydrochloride with selected drugs during simulated Y-site injection.
Am J Hosp Pharm 1991 ; 48: 2181-2184.
492 ajaleht Trissel LA, Parks NPT, Santiago NM.
Visual compatibility of fludarabine phosphate with antineoplastic drugs, anti-infectives, and other selected drugs during simulated Y-site injection.
Am J Hosp Pharm 1991 ; 48: 2186-2189.
496 ajaleht Lor E, Sheybani T, Takagi J.
Visual compatibility of fluconazole with commonly used injectable drugs during simulated Y-site administration.
Am J Hosp Pharm 1991 ; 48: 744-746.
565 ajaleht Marble DA, Bosso JA, Townsend RJ.
Compatibility of clindamycin phosphate with amikacin sulfate at room temperature and with gentamicin sulfate and tobramycin sulfate under frozen conditions.
Drug Intell Clin Pharm 1986 ; 20: 960-963.
566 ajaleht Porter WR, Johnson CA, Cohon MS, Gillespie W.
Compatibility and stability of clindamycin phosphate with intravenous fluids.
Am J Hosp Pharm 1983 ; 40: 91-94.
567 ajaleht Das Gupta V, Parasrampuria J, Bethea C, Wright W.
Stability of clindamycin phophate in dextrose and saline solutions.
Can J Hosp Pharm 1989 ; 42: 109-112.
575 ajaleht Holmes CJ, Ausman RK, Kundsin RB, Walter CW.
Effect of freezing and microwave thawing on the stability of six antibiotic admixtures in plastic bags.
Am J Hosp Pharm 1982 ; 39: 104-108.
604 Labor Stabilité des médicaments dans l'Intermate® SV50, 100, 200
Baxter 1998
639 ajaleht Zbrozek AS, Marble DA, Bosso JA, Bair JN, Townsend RJ.
Compatibility and stability of clindamycin phosphate - aminoglycoside combinations within polypropylene syringes.
Drug Intell Clin Pharm 1987 ; 21: 806-810.
644 ajaleht Marble DA, Bosso JA, Townsend RJ.
Compatibility of clindamycin phosphate with aztreonam in polypropylene syringes and with cefoperazone sodium, cefonicid sodium, and cefuroxime sodium in partial-fill glass bottles.
Drug Intell Clin Pharm 1988 ; 22: 54-57.
695 ajaleht Zbrozek AS, Marble DA, Bosso JA.
Compatibility and stability of cefazolin sodium, clindamycin phosphate, and gentamicin sulfate in two intravenous solutions.
Drug Intell Clin Pharm 1988 ; 22: 873-875.
889 ajaleht Janknegt R, Stratermans T, Cilissen J, Lohman JJHM, Hooymans PM.
Ofloxacin intravenous. Compatibility with other antibacterial agents.
Pharm Weekbl [Sci] 1991 ; 13: 207-209.
905 ajaleht Trissel LA, Martinez JF.
Screening teniposide for Y-site physical incompatibilities.
Hosp Pharm 1994 ; 29: 1010-1017.
921 ajaleht Trissel LA, Gilbert DL, Martinez JF.
Incompatibility and compatibility of amphotericin B cholesteryl sulfate complex with selected other drugs during simulated Y-site administration.
Hosp Pharm 1998 ; 33: 284-292.
999 ajaleht Watson D.
Piggyback compatibility of antibiotics with pediatric parenteral nutrition solution.
JPEN 1985 ; 9: 220-224.
1035 ajaleht Bisaillon S, Sarrazin R.
Compatibility of several antibiotics or hydrocortisone when added to metronidazole solution for intravenous infusion.
J Parenter Sci Technol 1983 ; 37: 129-132.
1047 ajaleht Souney PF, Colucci RD, Mariani G, Campbell D.
Compatibility of magnesium sulfate solutions with various antibiotics during simulated Y-site injection.
Am J Hosp Pharm 1984 ; 41: 323-324.
1055 ajaleht Faragos S.
Compatibility of antibiotics and other drugs in total parenteral nutrition solutions.
Can J Hosp Pharm 1983 ; 36: 43-52.
1057 ajaleht Cutie MR.
Compatibility of verapamil hydrochloride injection with commonly used additives.
Am J Hosp Pharm 1983 ; 40: 1205-1207.
1067 ajaleht Zeidler C, Dettmering D, Schrammel W, Spieteller M.
Compatibility of various drugs used in intensive care medicine in polyethylene, PVC and glass infusion containers.
EJHP 1999 ; 5: 106-110.
1072 ajaleht Saltsmann CL, Tom CM, Mitchell A, Fan JH, Gailey RA.
Compatibility of levofloxacin with 34 medications during simulated Y-site administration.
Am J Health-Syst Pharm 1999 ; 56: 1458-1459.
1135 ajaleht Baltz JK, Kennedy P, Minor JR, Gallelli J.
Visual compatibility of foscarnet with other injectable drugs during simulated Y-site administration.
Am J Hosp Pharm 1990 ; 47: 2075-2077.
1201 ajaleht Yuhas EM, Lofton FT, Rosenberg HA, Mayron D, Baldinus JG.
Cimetidine hydrochloride compatibility III: Room temperature stability in drug admixtures.
Am J Hosp Pharm 1981 ; 38: 1919-1922.
1315 ajaleht Halpern NA, Colucci RD, Alicea M, Greenstein R.
Visual compatibility of enalaprilat with commonly used critical care medications during simulated Y-site injection.
Int J Pharm Clin Pharmacol Ther Tox 1989 ; 27: 294-297.
1410 ajaleht Trissel LA, Martinez JF, Simmons M.
Compatibility of etoposide phosphate with selected drugs during simulated Y-site injection.
J Am Pharm Assoc 1999 ; 39: 141-145.
1415 ajaleht Trissel L.A, Gilbert D.L, Martinez J.F, Baker M.B, Walter W.V, Mirtallo J.M.
Compatibility of medications with 3-in-1 parenteral nutrition admixtures.
JPEN 1999 ; 23: 67-74.
1423 ajaleht Trissel LA, Martinez JF, Gilbert DL.
Compatibility of gemcitabine hyrochloride with 107 selected drugs during simulated Y-site injection.
J Am Pharm Assoc 1999 ; 39: 514-518.
1490 ajaleht Halpern NA, Colucci RD, Alicea M, Greenstein R.
The compatibility of nicardipine hydrochloride injection with various ICU medications during simulated Y-site injection.
Int J Pharm Clin Pharmacol Ther Tox 1989 ; 27: 250-254.
1625 ajaleht Trissel LA, Saenz C, Williams YW, Ingram D.
Incompatibilities of lansoprazole injection with other drugs during simulated Y-site coadministration.
Int J Pharm Compound 2001 ; 5: 314-321.
1712 ajaleht Trissel LA, Saenz CA.
Compatibility screening of Precedex during simulated Y-site administration with other drugs.
Int J Pharm Compound 2002 ; 6: 230-233.
1713 ajaleht Trissel LA, Saenz CA.
Compatibility screening of bivalirudin during simulated Y-site administration with other drugs.
Int J Pharm Compound 2002 ; 6: 311-315.
1721 ajaleht Trissel LA, Williams KY, Baker MB.
Compatibility screening of Hextend during simulated Y-site administration with other drugs.
Int J Pharm Compound 2001 ; 5: 69-72.
1754 ajaleht Trissel LA, Gilbert DL, Wolkin AC.
Compatibility of docetaxel with selected drugs during simulated Y-site administration.
Int J Pharm Compound 1999 ; 3: 241-244.
1800 ajaleht Voytilla KL, Tyler LS, Rusho WJ.
Visual compatibility of azithromycin with 24 commonly used drugs during simulated Y-site delivery.
Am J Health-Syst Pharm 2002 ; 59: 853-855.
1802 ajaleht Bell MS, Nolt DH.
Visual compatibility of doxapram hydrochloride with drugs commonly administered via a Y-site in the intensive care nursery.
Am J Health-Syst Pharm 2003 ; 60: 193-194.
1803 ajaleht Trissel, LA, Saenz CA, Ogundele OB, Ingram D, Baker MB.
Compatibility of fenoldopam mesylate with other drugs during simulated Y-site administration.
Am J Health-Syst Pharm 2003 ; 60: 80-85.
1815 ajaleht Xu QA, Trissel LA.
Stability of clindamycin phosphate in autodose infusion system bags.
Int J Pharm Compound 2003 ; 7, 2: 149-151.
1925 ajaleht Trissel LA , Williams KY, Gilbert DL.
Compatibility screening of linezolid injection during simulated Y-site administration with other drugs and infusion solutions.
J Am Pharm Assoc 2000 ; 40: 515-519.
1953 ajaleht Trissel LA, Saenz CA, Ogundele AB, Ingram DS.
Physical compatibility of pemetrexed disodium with other drugs during simulated Y-site administration.
Am J Health-Syst Pharm 2004 ; 61: 2289-2293.
1982 ajaleht Trissel LA, Ogundele AB.
Compatibility of anidulafungin with other drugs during simulated Y-site administration.
Am J Health-Syst Pharm 2005 ; 62: 834-837.
2002 ajaleht Abanmy NO, Zaghloul IY, Radwan MA.
Compatibility of tramadol hydrochloride injection with selected drugs and solutions.
Am J Health-Syst Pharm 2005 ; 62: 1299-1302.
2087 ajaleht Ferreira E, Forest JM, Hildgen P.
Compatibility of dimenhydrinate injectable by Y administration.
Pharmactuel 2004 ; 37: 17-20.
2090 ajaleht Pere H, Chasse V, Forest JM, Hildgen P.
Compatibility of injectable pantoprazole in Y-site administration.
Pharmactuel 2004 ; 37: 193-196.
2109 ajaleht Pelletier E, Forest JM, Hildgen P.
Compatibilité de la kétamine injectable lors de l’administration en dérivé avec d’autres médicaments usuels.
Pharmactuel 2006 ; 39: 71-75.
2231 ajaleht de Jongh R, Hens R, Basma V, mouton JW, Tulkens PM, Carryn S.
Continuous versus intermittent infusion of temocillin, a directed spectrum penicillin for intensive care patients with nosocomial pneumonia: stability, compatibility, population pharmacokinetic studies and breakpoint selection.
J Antimicrob Chemother 2008 ; 61, 2: 382-388.
2233 ajaleht Condie C.K, Tyler L.S, Barker B, Canann D.M.
Visual compatibility of caspofungin acetate with commonly used drugs during simulated Y-site delivery
Am J Health-Syst Pharm 2008 ; 65, 5: 454-457.
2247 ajaleht Chan P, Heatherly K, Kupiec T.C, Trissel L.A.
Compatibility of caspofungin acetate injection with other drugs during simulated Y-site coadministration.
Int J Pharm Compound 2008 ; 12, 3: 276-278.
2269 ajaleht Chan P, Bishop A, Kupiec TC, Trissel LA, Gole D, Jimidar IM, Vermeersch H.
Compatibility of ceftobiprole medocaril with selected drugs during simulated Y-site administration.
Am J Health-Syst Pharm 2008 ; 65, 16: 1545-1551.
3012 ajaleht Sullivan T, Forrest J.M, Leclair G.
Compatibility of Cloxacillin Sodium with Selected Intravenous Drugs During Simulated Y-Site Administration
Hosp Pharm 2015 ; 50, 3: 214-220.
3152 ajaleht Kumar A, Mann HJ.
Visual compatibility of oritavancin diphosphate with selected coadministered drugs during simulated Y-site administration.
Am J Health-Syst Pharm 2010 ; 67: 1640-1644.
3216 ajaleht Legris ME, Valiquette ME, Lavoie A, Forest JM, Leclair G.
Compatibilité physique par évaluation visuelle du salbutamol injectable lors de son administration en Y.
Pharmactuel 2011 ; 44, 1 : 14-18
3249 ajaleht Singh BM, Dedhiya MG, Dinunzio J, Chan P, Kupiec TC, Trissel LA, Laudano JB.
Compatibility of ceftaroline fosamil for injection with selected drugs during simulated Y-site administration.
Am J Health-Syst Pharm 2011 ; 68: 2163-2169.
3379 ajaleht Fox L.M, Wilder A.G, Foushee J.A.
Physical compatibility of various drugs with neonatal total parenteral nutrient solution during simulated Y-site administration.
Am J Health-Syst Pharm 2013 ;70:520-524.
3408 ajaleht Tollec S, Touzin K, Pelletier E, Forest J.M.
Evaluation visuelle de la compatibilité physique de la naloxone avec d’autres médicaments intraveineux usuels.
Pharmactuel 2013 ; 46, 1 : 16-21.
3526 Labor Clindamycin (Dalacin®) - Summary of Product Characteristics
Pharmacia 2010
3548 Labor Cefepime (Maxipime®) - Summary of Product caracteristics.
Bristol Myers Squibb 2007
3571 ajaleht Anderson C, Boehme S, Ouellette J, Stidham C, MacKay M.
Physical and Chemical Compatibility of Injectable Acetaminophen During Simulated Y-Site Administration.
Hosp Pharm 2014 ; 49, 1: 42-47.
3594 Labor Metronidazole (Flagyl®) - Summary of Product Characteristics
Zentiva 2013
3644 Labor Calcium gluconate® - Summary of Product Characteristics
Hameln Pharmaceuticals 2010
3766 ajaleht Forrest J.M, Hildgen P.
Compatibilité de l’acétylcystéine injectable lors de son administration en Y avec d’autres médicaments usuels
Pharmactuel 2014 ; 47, 3 : 161-165.
3767 ajaleht Legris M.E, Lavoie A, Forrest J.M, Hildgen P.
Compatibilité par évaluation visuelle du thiopental injectable lors de son administration en Y avec des médicaments usuels.
Pharmactuel 2014 ; 47, 3 : 167-172.
3791 plakat Sadou Yaye H, Burtet E, Hamel C, Aljhni R, Gard C, Tilleul P.
Étude de la compatibilité physico-chimique du phloroglucinol injectable durant les mélanges au sein des tubulures en Y.
Apifh Congress, Paris November 2014 2014
3824 ajaleht Boudi S, Roy H, Forest JM, Leclair G.
Compatibilité physique de l'association amoxicilline-acide clavulanique en injection avec plusieurs autres médicaments lors d'une administration en Y.
Pharmactuel 2023 2023;56,3:91-98
3838 Labor Magnesium Sulphate - Summary of Product Characteristics
Martindale Pharmaceuticals Ltd 2007
3964 ajaleht Audet M.A, Forest E, Friciu M, Forest J.M, Leclair G.
Compatibilité du citrate de caféine injectable avec plusieurs autres médicaments.
Pharmactuel 2017 ; 50,1 : 27-33.
3967 ajaleht Staven V, Herra I, Wang S, Grönlie I,Tho I.
Physical compatibility of total parenteral nutrition and drugs in Y-site administration to children from neonates to adolescents.
J Pharm Pharmacol 2017 ;69,7:448-462
4319 ajaleht Lessard J-J, Caron E, Schérer H, Forest J-M, Leclair G.
Compatibility of Y-site Injection of Meropenem Trihydrate With 101 Other Injectable Drugs.
Hosp Pharm 2020 ; 55, 5: 332-337.
4440 ajaleht Omotani S, Aoe M, Esaki S, Nagai K, Hatsuda Y, Mukai J, Teramachi H, Myotoku M.
Compatibility of Intravenous Fat Emulsion with Antibiotics for Secondary Piggyback Infusion.
Ann Nutr Metab 2018 ; 73: 227-233.
4528 ajaleht Lu J, Liu Q, Kupiec T, Vail H, Lunch L, Fam D, Vu N.
Physical Compatibility of Cefiderocol with Selected Intravenous Drugs During Simulated Y-site Administration.
Int J Pharm Compound 2021 ;25,1:52-61
4619 Kvaliteedikontrolli labor Simms D, Roberts J, Rigge D.
Stability Study for Clindamycin 9.52mg/mL in 5.0% w/v Glucose 50mL Infusion Bags.
Quality Control North West, Stockport NHS Foundati 2021
4622 Kvaliteedikontrolli labor Simms D, Roberts J, Rigge D.
Stability Study for Clindamycin 9.52mg/mL in 0.9% w/v Sodium Chloride 50mL Infusion Bags.
Quality Control North West, Stockport NHS Foundati 2021
4642 plakat Larossa garcia M, Jimenez-Lozano I, Boix-Montanés A, Mallandrich Miret M, Clemente Bautista M, cabanas Poy M.J., Gorgas Torner
Compatibilidad en Y de atosiban y farmacois habitualmente utilizados en obstetricia.
SEFH Congress (Virtual) October 2021 2021
4742 ajaleht Macoviciuc M, Nguyen C, Forest J-M, Leclair G.
Compatibilité physique de l’acétaminophène injectable avec 102 autres médicaments lors d’une administration en Y.
Pharmactuel 2022 ; 55, 4: 247-255.
4964 Labor GLUCONATE DE CALCIUM 10 % B.BRAUN, solution pour perfusion - Résumé des caractéristiques du produit.
B BRAUN MELSUNGEN AG 2019
5012 Labor CHLORURE DE MAGNESIUM 10 POUR CENT (1 g/10 ml) LAVOISIER, solution injectable (I.V.) en ampoule - Résumé des caractéristiques du produit.
LABORATOIRES CHAIX ET DU MARAIS 2018

  Mentions Légales