Son güncelleme :
27/11/2025
Antikoagülan   Bivalirudin  
Enjeksiyon
Çözeltilerin stabilitesi Karışımlardaki stabilitesi Stabiliteyi etkileyen faktörler Uyumluluk Uygulama yöntemi Kaynaklar pdf
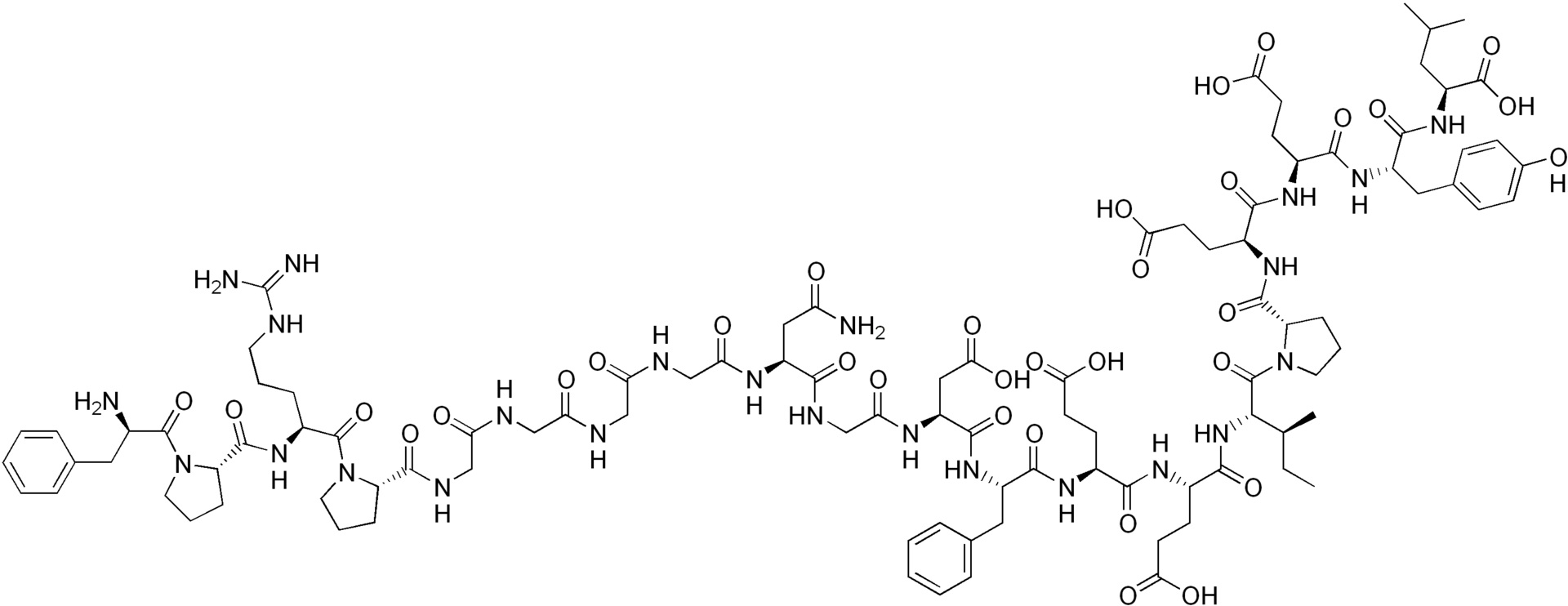
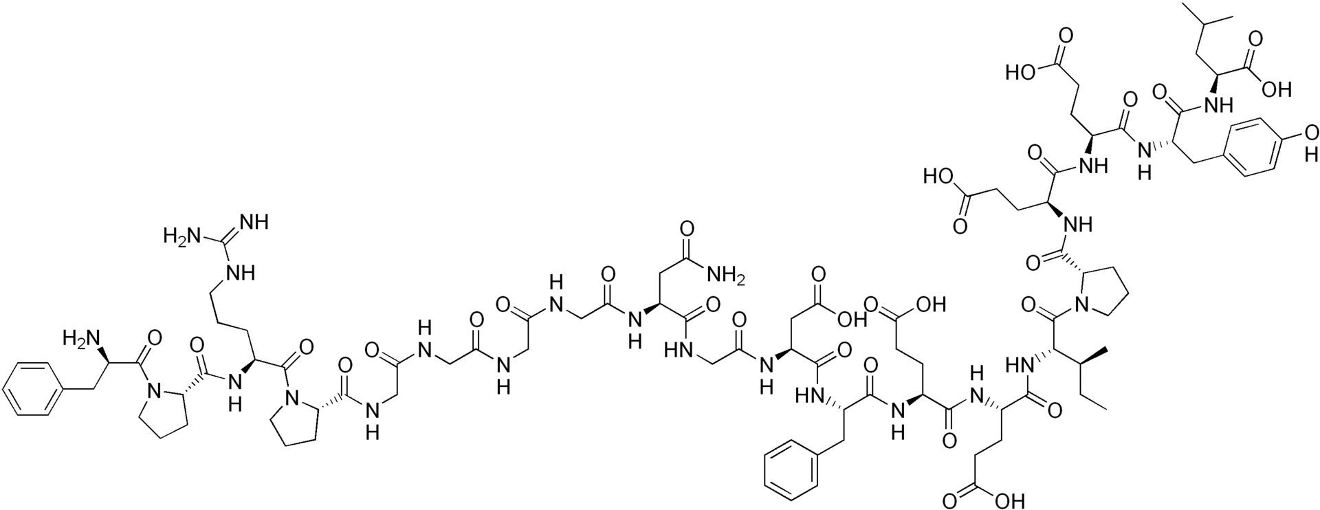
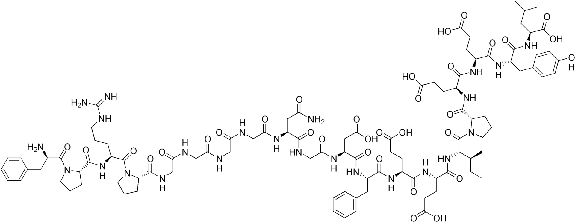
   Kimyasal yapı   

Ticari isim   Ticari isim     

Trade names are indicative and excipients composition can be different depending on the country and manufacturers

Amuprux Arjantin
Angiomax Amerika Birleşik Devletleri, Avustralya, Kanada, Peru, Şili, Venezuela, yeni Zelanda
Angiox Amerika Birleşik Devletleri, Avusturya, Büyük Britanya, Danimarka, Finlandiya, Hollanda, İspanya, İtalya, İzlanda, Macaristan, Norveç, Polonya, Romanya, Slovenya, Yunanistan
Bivalirudin Almanya, Belçika, Büyük Britanya, Danimarka, Finlandiya, İsveç, Slovenya
Bivalirudina İspanya, İtalya
Karışımlardaki stabilitesi   Enjeksiyon    Karışımlardaki stabilitesi : Bivalirudin     
veri yok

  Mentions Légales