Pēdējā atjaunošana :
18/03/2026
Antikoagulants   Bivalirudin  
Injekcija
Šķīduma stabilitāte Maisījuma stabilitāte Stabilitāti ietekmējoši faktori Saderība Levadīšanas veids Literatūras saraksts pdf
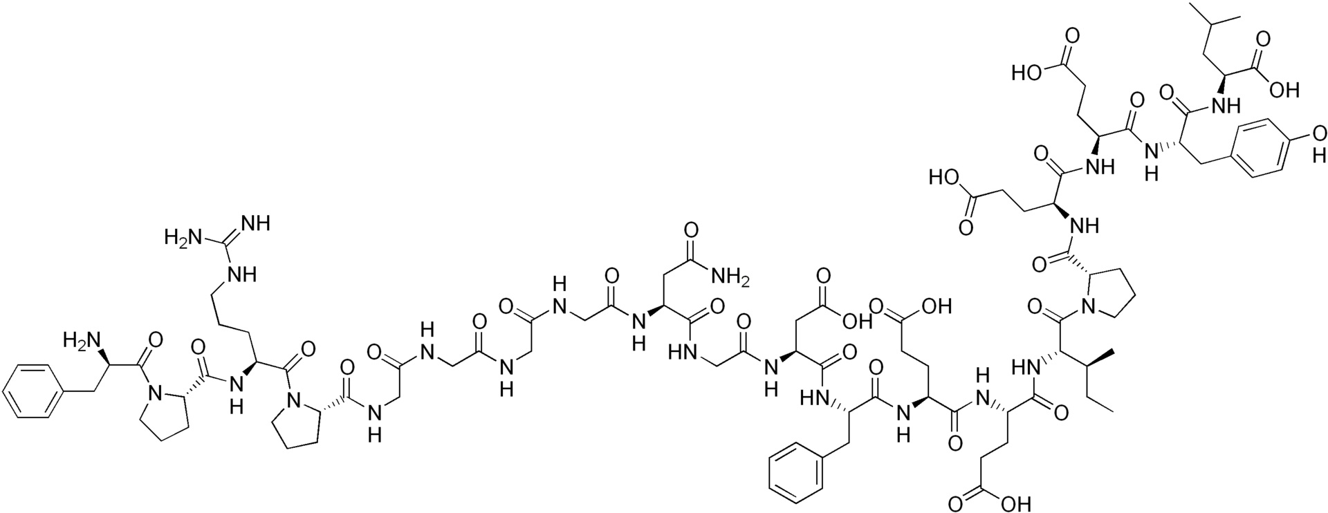
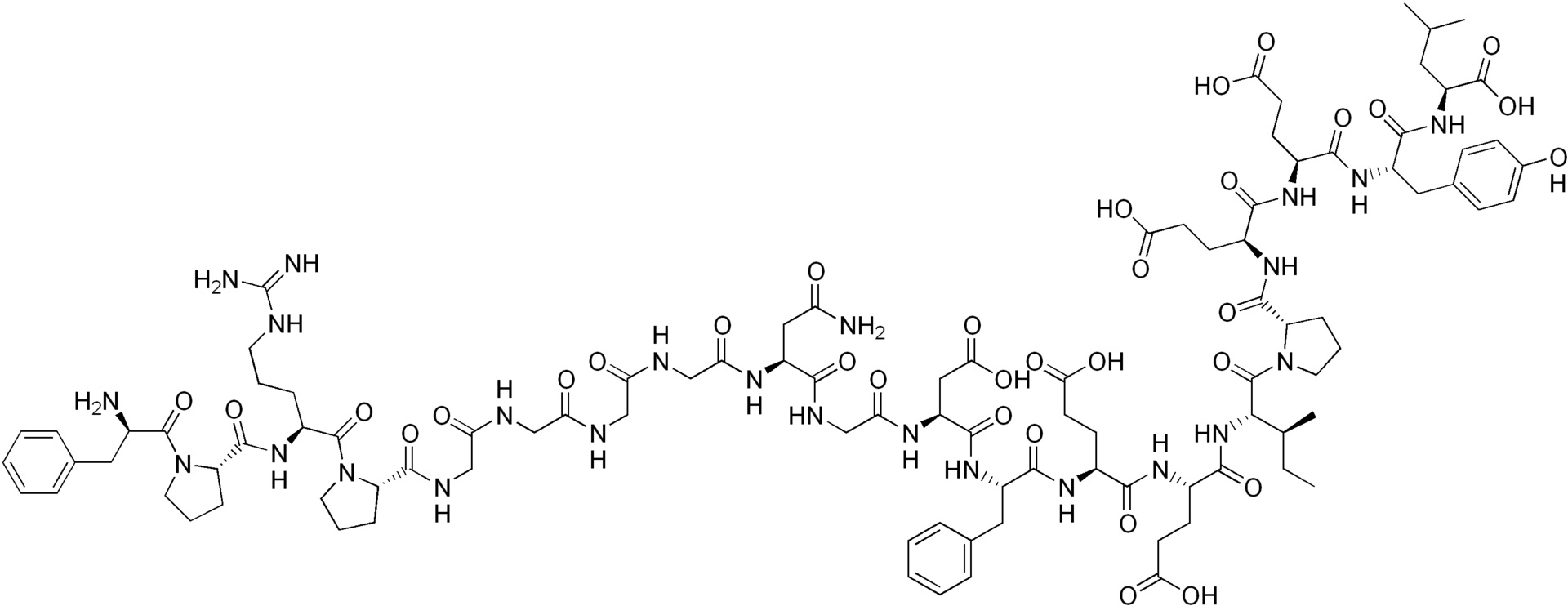
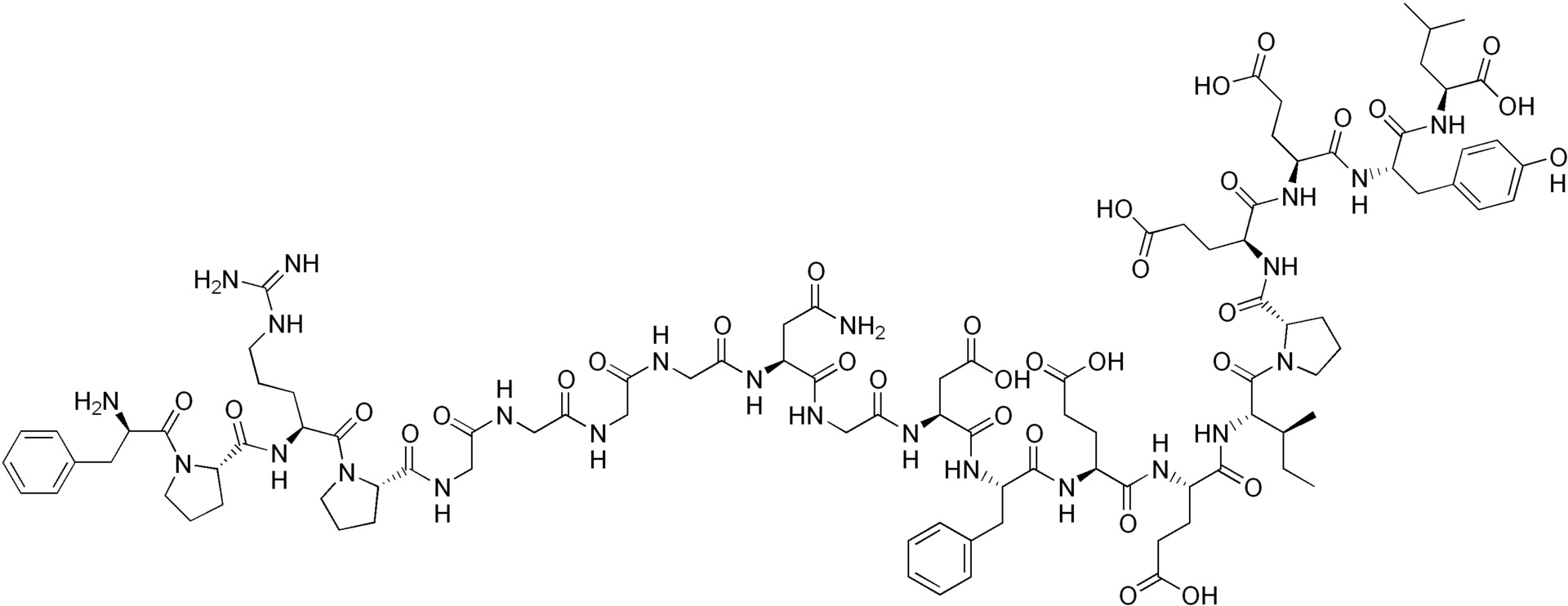
   Ķīmiskā uzbūve   

Oriģinālais nosaukums   Oriģinālais nosaukums     

Tirdzniecības nosaukumi ir apzīmējoši un palīgvielas var atšķirties dažādām valstīm un laboratorijām

Amuprux Argentīna
Angiomax Amerikas Savienotās Valstis, Austrālija, Čīle, Jaunzēlande, Kanāda, Peru, Venecuēla
Angiox Amerikas Savienotās Valstis, Austrija, Dānija, Grieķija, Holande, Islande, Itālija, Lielbritānija, Norvēģija, Polija, Rumānija, Slovēnija, Somija, Spānija, Ungārija
Bivalirudin Beļģija, Dānija, Lielbritānija, Slovēnija, Somija, Vācija, Zviedrija
Bivalirudina Itālija, Spānija
Maisījuma stabilitāte   Injekcija   Maisījuma stabilitāte : Bivalirudin     
Nav datu

  Mentions Légales