最新更新 :
27/11/2025
抗凝固薬   Bivalirudin  
注射薬
溶媒内の安定性 混合時の安定性 安定性に影響する因子 互換性 投与経路 引用文献 PDF
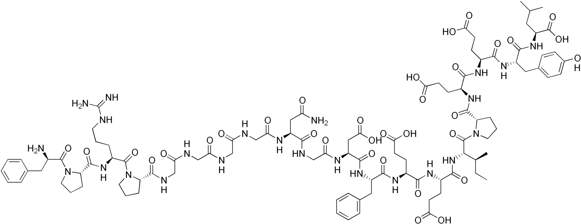
   化学構造  

商品名   商品名     

商品名、賦形剤は国、製薬会社ごとに異なることがあります

Amuprux アルゼンチン
Angiomax アメリカ, アーストラリア, カナダ, チリ, ニュージーランド, ベネズエラ, ペルー
Angiox アイスランド, アメリカ, イギリス, イタリア, オランダ, オーストリア, ギリシア, スペイン, スロベニア, デンマーク, ノルウェー, ハンガリー, フィンランド, ポーランド, ルーマニア
Bivalirudin イギリス, スウェーデン, スロベニア, デンマーク, ドイツ, フィンランド, ベルギー
Bivalirudina イタリア, スペイン
混合時の安定性   注射薬   混合時の安定性 : Bivalirudin     
データなし

  Mentions Légales