Ultimele actualizari :
18/03/2026
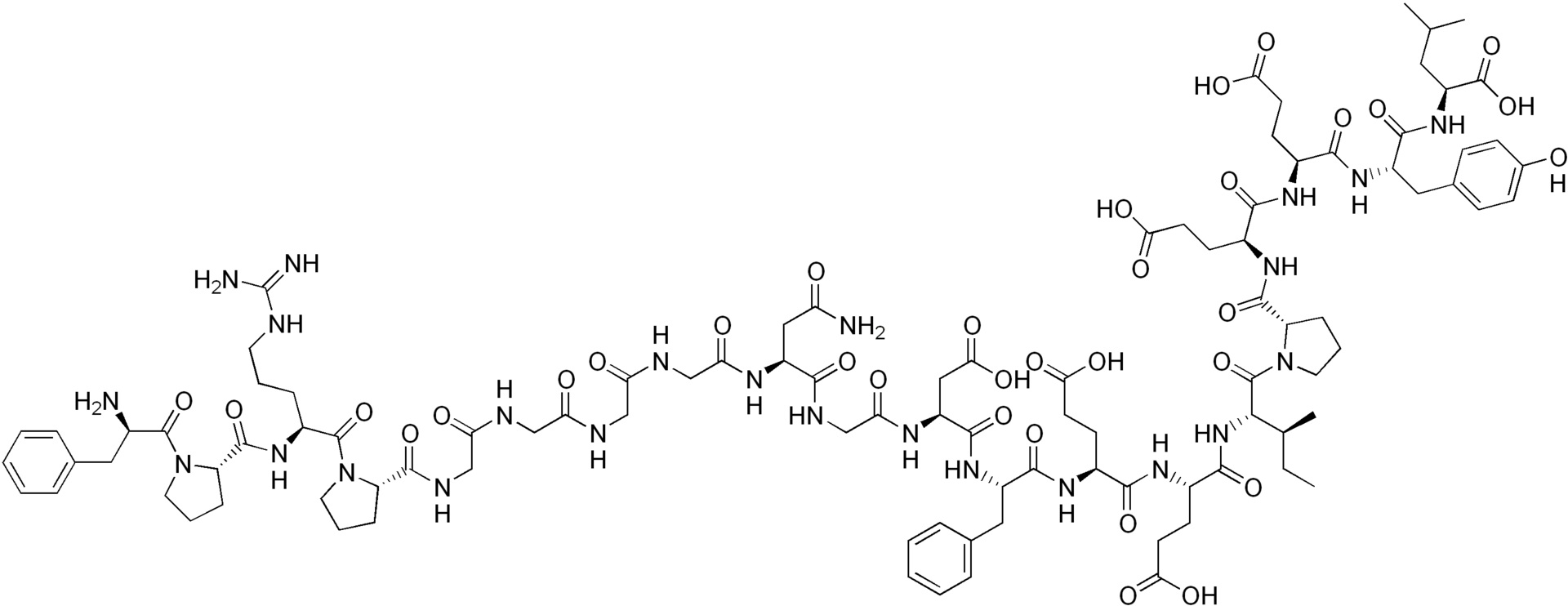
Anticoagulant   Bivalirudin  
Injectabil
Stabilitatea in solutie Stabilitatea in amestec Factorii care influenteaza stabilitatea Compatibilitate Microunde Bibliografie pdf
   Formula chimica  

Denumirea comerciala   Denumirea comerciala     

Trade names are indicative and excipients composition can be different depending on the country and manufacturers

Amuprux Argentina
Angiomax Australia, Canada, Chilli, noua Zeelandă, Peru, SUA, Venezuela
Angiox Austria, Danemarca, Finlanda, Grecia, Islanda, Italia, Marea Britanie, Norvegia, Olanda, Polonia, Romania, Slovenia, Spania, SUA, Ungaria
Bivalirudin Belgia, Danemarca, Finlanda, Germania, Marea Britanie, Slovenia, Suedia
Bivalirudina Italia, Spania
Stabilitatea in amestec   Injectabil   Stabilitatea in amestec : Bivalirudin     
Absenta de date

  Mentions Légales