viimane versioon :
18/03/2026
antikoagulant   Bivalirudin  
Süsteravim
Stabiilsus lahustes Stabiilsust mõjutavad tegurid stabiilsust mõjutavad faktorid Sobimatus Manustamis viis Viited pdf
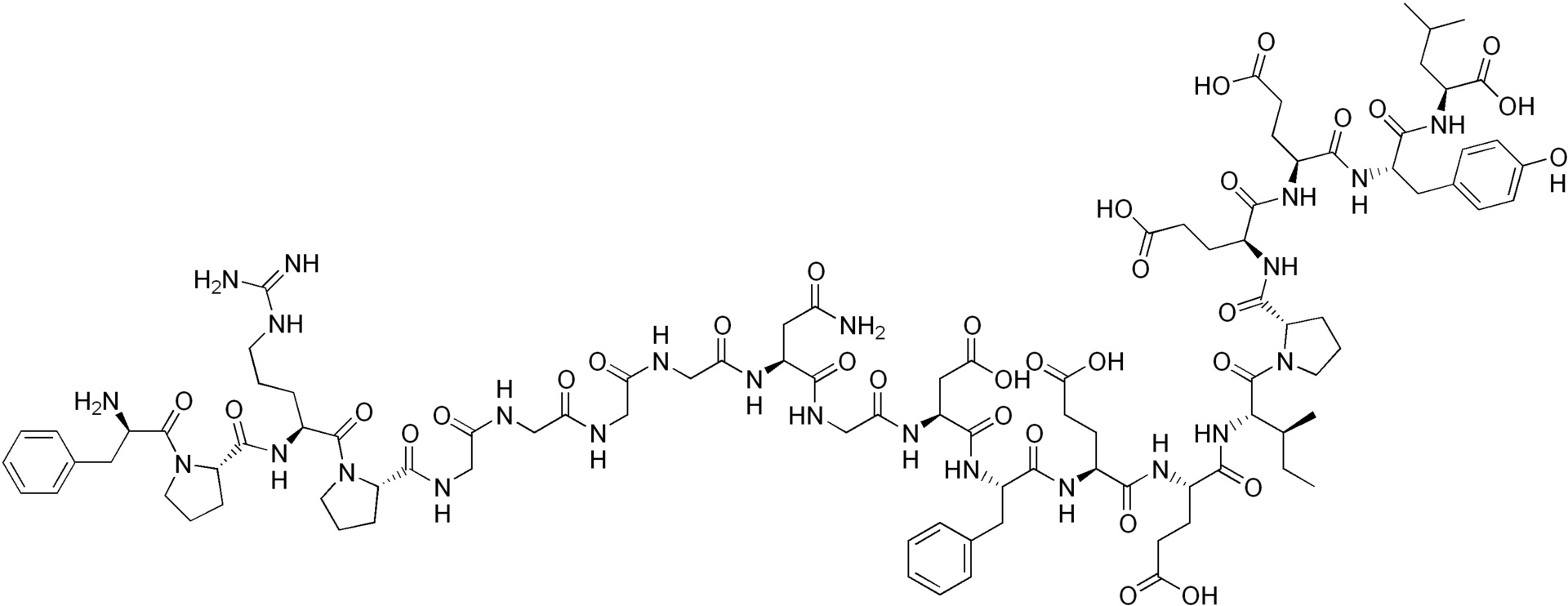
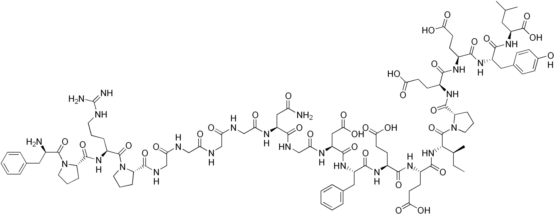
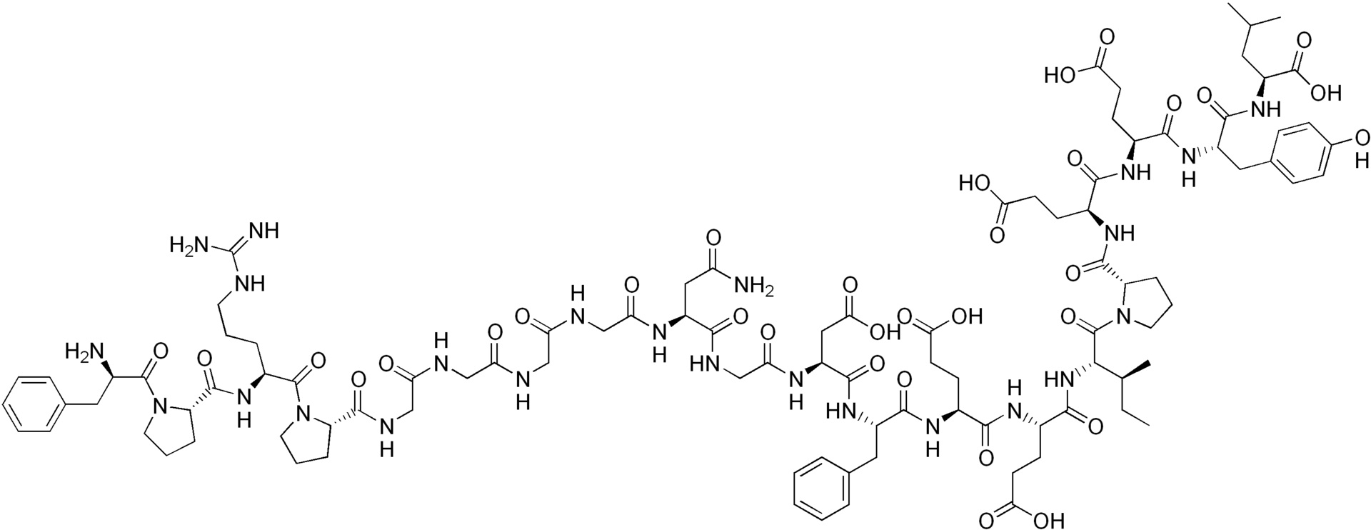
   keemiline struktuur  

Kaubanduslikud nimed erinevates maades   Kaubanduslikud nimed erinevates maades     

Preparaatide nimed on näitlikud ja abianete sisaldus võib erineda sõltuvalt riigist ja laborist

Amuprux Argentiina
Angiomax Ameerika ühendriigid, Austraalia, Kanada, Maroko, Tšiili, uus-Meremaa, Venetsueela
Angiox Ameerika ühendriigid, Austria, Hispaania, Holland, Island, Itaalia, Kreeka, Norra, Poola, Rumeenia, Sloveenia, Soome, Suurbritannia, Taani, Ungari
Bivalirudin Belgia, Rootsi, Saksamaa, Sloveenia, Soome, Suurbritannia, Taani
Bivalirudina Hispaania, Itaalia
Stabiilsust mõjutavad tegurid   Süsteravim   Stabiilsust mõjutavad tegurid : Bivalirudin     
andmed puuduvad

  Mentions Légales