zadnja posodobitev :
17/12/2025
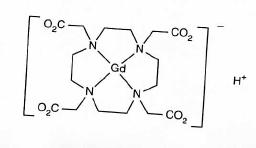
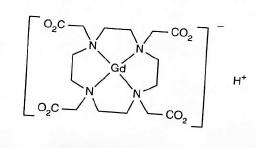
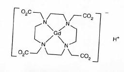
kontrastno sredstvo   Gadoterate meglumine  
Brizgalka
Stabilnost raztopine Stabilnost mešanice Faktorji, ki vplivajo na stabilnost Kompatibilnost način aplikacije Viri pdf
   Kemična formula  

Lastniško ime   Lastniško ime     

Sestava pomožnih snovi je med paralelami lahko različna

Artirem Nemčija, Nizozemska
Ciclolux Nemčija, Španija
Clariscan Avstrija, Belgija, Čile, Finska, Irska, Luksemburg, Madžarska, Nemčija, Norveška, Peru, Španija, Švedska, Švica
Cyclolux Madžarska, Nemčija, Španija
Dotagita Nemčija, Romunija
Dotagraf Irska, Nemčija, Španija, Švica
Dotarem Argentina, Avstralija, Avstrija, Belgija, Čile, Danska, Egipt, Finska, Francija, Grčija, Iran, Irska, Italija, Kolumbija, Luksemburg, Madžarska, Malezija, Nemčija, Norveška, Peru, Portugalska, Romunija, Savdska Arabija, Španija, Švedska, Švica, Tunizija, Turčija, Venezuela
Stabilnost mešanice   Brizgalka   Stabilnost mešanice : Gadoterate meglumine     
ni podatka

  Mentions Légales