Siste oppdatering :
17/12/2025
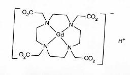
kontrastmiddel   Gadoterate meglumine  
Injeksjon
Oppløsningsstabilitet Stabilitet i blandinger Faktorer som påvirker stabiliteten Kompatibilitet Administrasjonsmåte Referanser pdf
   Kjemisk struktur  

Handelsnavn   Handelsnavn     

Handelsnavn er veiledende og sammensetning av hjelpestoffer kan være forskjellig avhengig av land og produsent

Artirem Nederland, Tyskland
Ciclolux Spania, Tyskland
Clariscan Belgia, Chile, Finland, Irland, Luxembourg, Norge, Peru, Spania, Sveits, Sverige, Tyskland, Ungarn, Østerrike
Cyclolux Spania, Tyskland, Ungarn
Dotagita Romania, Tyskland
Dotagraf Irland, Spania, Sveits, Tyskland
Dotarem Argentina, Australia, Belgia, Chile, Colombia, Danmark, Egypt, Finland, Frankrike, Hellas, Iran, Irland, Italia, Luxembourg, Malaysia, Norge, Peru, Portugal, Romania, Saudi-Arabia, Spania, Sveits, Sverige, Tunisia, Tyrkia, Tyskland, Ungarn, Venezuela, Østerrike
Stabilitet i blandinger   Injeksjon   Stabilitet i blandinger : Gadoterate meglumine     
Ingen opplysninger

  Mentions Légales