آخر تحديث :
17/12/2025
مواد الاشعه التشخيصيه    Gadoterate meglumine  
حقن
الاستقرار في حلول استقرار مخاليط العوامل التي تؤثر على الاستقرار التوافق طريقة التعاطي مراجع pdf
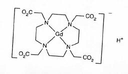
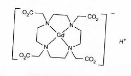
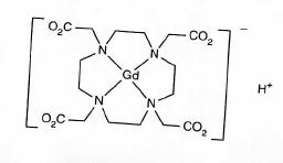
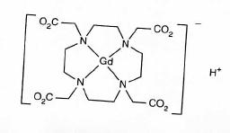
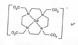
   التركيب الكيميائي  

حجز الاسم التجاري   حجز الاسم التجاري     

تحذير الأسماء التجاريه المختلفه قد تحتوي علي محتوي إضافات مختلفة حسب الدوله و المعمل

Artirem ألمانيا, هولندا
Ciclolux ألمانيا, إسبانيا
Clariscan ألمانيا, إسبانيا, السويد, النرويج, النمسا, ايرلندا, بلجيكا, بيرو, تشيلي, سويسرا, فنلندا, لوكسمبورغ, هنغاريا
Cyclolux ألمانيا, إسبانيا, هنغاريا
Dotagita ألمانيا, رومانيا
Dotagraf ألمانيا, إسبانيا, ايرلندا, سويسرا
Dotarem أستراليا, ألمانيا, إسبانيا, إيران, إيطاليا, الأرجنتين, البرتغال, الدنمارك, السويد, العربية السعودية, النرويج, النمسا, ايرلندا, بلجيكا, بيرو, تركيا, تشيلي, تونس, رومانيا, سويسرا, فرنسا, فنزويلا, فنلندا, كولومبيا, لوكسمبورغ, ماليزيا, مصر, هنغاريا, يونان
استقرار مخاليط   حقن   استقرار مخاليط : Gadoterate meglumine     
لا توجد بيانات

  Mentions Légales