Dernière mise à jour :
05/12/2025
Produit de contraste   Gadoterate meglumine  
injectable
Stabilité des solutions Stabilité en mélange Facteur influençant la stabilité Compatibilités Voie d’administration Bibliographie pdf
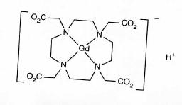
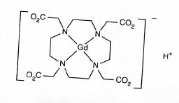
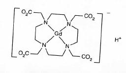
   Structure chimique  

Noms commerciaux   Noms commerciaux     

Les noms commerciaux sont donnés à titre indicatif et la composition en excipients peut être différente selon les pays et selon les laboratoires

Artirem Allemagne, Pays bas
Ciclolux Allemagne, Espagne
Clariscan Allemagne, Autriche, Belgique, Chili, Espagne, Finlande, Hongrie, Irlande, Luxembourg, Norvège, Pérou, Suède, Suisse
Cyclolux Allemagne, Espagne, Hongrie
Dotagita Allemagne, Roumanie
Dotagraf Allemagne, Espagne, Irlande, Suisse
Dotarem Allemagne, Arabie Saoudite, Argentine, Australie, Autriche, Belgique, Chili, Colombie, Danemark, Egypte, Espagne, Finlande, France, Grèce, Hongrie, Iran, Irlande, Italie, Luxembourg, Malaisie, Norvège, Pérou, Portugal, Roumanie, Suède, Suisse, Tunisie, Turquie, Vénézuela
Stabilité en mélange   injectable   Stabilité en mélange : Gadoterate meglumine     
Aucune donnée

  Mentions Légales