Letztes “update” :
17/12/2025
Röntgenkontrastmittel   Gadoterate meglumine  
Injektion
Stabilität der Lösung Gemengestabilität Stabilitätbeeinflussende Faktoren Kompatibilitäten Applikationsart Literaturverzeichnis pdf
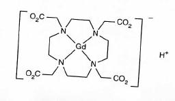
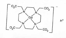
   Chemische Struktur  

Handelsmarke   Handelsmarke     

Handelsnamen sind als beispielhaft anzusehen. Sonstige Bestandteile können je nach Hersteller oder Land verschieden sein

Artirem Deutschland, Niederlande
Ciclolux Deutschland, Spanien
Clariscan Belgien, Chile, Deutschland, Finnland, Irland, Luxemburg, Norwegen, Österreich, Peru, Schweden, Schweiz, Spanien, Ungarn
Cyclolux Deutschland, Spanien, Ungarn
Dotagita Deutschland, Rumänien
Dotagraf Deutschland, Irland, Schweiz, Spanien
Dotarem Ägypten, Argentinien, Australien, Belgien, Chile, Dänemark, Deutschland, Finnland, Frankreich, Griechenland, Iran, Irland, Italien, Kolumbien, Luxemburg, Malaysia, Norwegen, Österreich, Peru, Portugal, Rumänien, Saudi-Arabien, Schweden, Schweiz, Spanien, Tunesien, Türkei, Ungarn, Venezuela
Gemengestabilität   Injektion   Gemengestabilität : Gadoterate meglumine     
Keine Daten

  Mentions Légales