Pēdējā atjaunošana :
17/12/2025
kontrastviela   Gadoterate meglumine  
Injekcija
Šķīduma stabilitāte Maisījuma stabilitāte Stabilitāti ietekmējoši faktori Saderība Levadīšanas veids Literatūras saraksts pdf
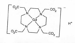
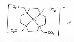
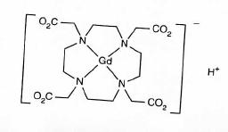
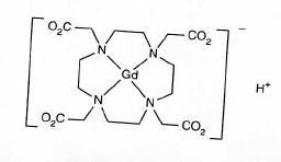
   Ķīmiskā uzbūve   

Oriģinālais nosaukums   Oriģinālais nosaukums     

Tirdzniecības nosaukumi ir apzīmējoši un palīgvielas var atšķirties dažādām valstīm un laboratorijām

Artirem Holande, Vācija
Ciclolux Spānija, Vācija
Clariscan Austrija, Beļģija, Čīle, Īrija, Luksemburga, Norvēģija, Peru, Somija, Spānija, Šveice, Ungārija, Vācija, Zviedrija
Cyclolux Spānija, Ungārija, Vācija
Dotagita Rumānija, Vācija
Dotagraf Īrija, Spānija, Šveice, Vācija
Dotarem Argentīna, Austrālija, Austrija, Beļģija, Čīle, Dānija, Ēģipte, Francija, Grieķija, Irāna, Īrija, Itālija, Kolumbija, Luksemburga, Malaizija, Norvēģija, Peru, Portugāle, Rumānija, Saūda Arābija, Somija, Spānija, Šveice, Tunisija, Turcija, Ungārija, Vācija, Venecuēla, Zviedrija
Maisījuma stabilitāte   Injekcija   Maisījuma stabilitāte : Gadoterate meglumine     
Nav datu

  Mentions Légales