Senaste uppdateringen :
27/11/2025
Antiepileptikum   Fosphenytoin sodium  
injektion
Lösningars stabilitet Stabilitet i blandningar Faktorer som påverkar stabiliteten Kompatibilitet Administreringssätt Hänvisningar pdf
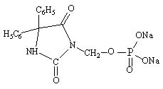
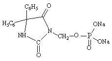
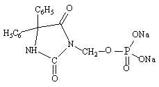
   Molekylstruktur  

Varunamn   Varunamn     

Angivna handelsnamn på läkemedel är enbart vägledande då formulering inklusive hjälpämnen kan variera mellan länder och tillverkare

Cerebryx Förenta Staterna, Kanada
Fosphen Indien
Fostoin Japan
Pro - Epanutin Danmark, Finland, Irland, Island, Luxemburg, Nederländerna, Norge, Österrike, Storbritannien, Sverige
Prodilantin Danmark, Finland, Förenta Staterna, Frankrike, Grekland, Irland, Island, Japan, Nederländerna, Österrike, Polen, Ungern
Sesquient Förenta Staterna

Faktorer som påverkar stabiliteten   injektion   Faktorer som påverkar stabiliteten : Fosphenytoin sodium        
Ingen uppgift

  Mentions Légales