Ostatnia aktualizacja :
27/11/2025
środek przeciwpadaczkowy   Fosphenytoin sodium  
Injekcje
Trwałość roztworów Trwałość w mieszaninie Czynnik wpływający na trwałość Zgodność Sposób podania Bibliografia pdf
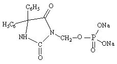
   Struktura chemiczna  

Nazwa handlowa   Nazwa handlowa     

Trade names are indicative and excipients composition can be different depending on the country and manufacturers

Cerebryx Kanada, Stany Zjednoczone Ameryki
Fosphen Indie
Fostoin Japonia
Pro - Epanutin Austria, Dania, Finlandia, Holandia, Irlandia, Islandia, Luksemburg, Norwegia, Szwecja, Wielka Brytania
Prodilantin Austria, Dania, Finlandia, Francja , Grecja, Holandia, Irlandia, Islandia, Japonia, Polska, Stany Zjednoczone Ameryki, Węgry
Sesquient Stany Zjednoczone Ameryki

Czynnik wpływający na trwałość   Injekcje   Czynnik wpływający na trwałość : Fosphenytoin sodium        
Brak danych

  Mentions Légales