最新更新 :
27/11/2025
抗癫痫药   Fosphenytoin sodium  
注射液
溶液稳定性 混合物稳定性 影响稳定性的因素 兼容性 用药途径 引用文献 PDF
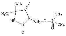
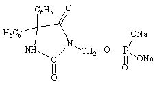
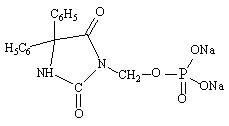
   化学式  

商品名   商品名     

商品名仅供参考, 药品所用的辅料可能依国家或厂商不同有所不同。

Cerebryx 加拿大, 美国
Fosphen 印度
Fostoin 日本
Pro - Epanutin 丹麦, 冰岛, 卢森堡, 奥地利, 挪威, 爱尔兰, 瑞典, 芬兰, 英国, 荷兰
Prodilantin 丹麦, 冰岛, 匈牙利, 奥地利, 希腊, 日本, 法国, 波兰, 爱尔兰, 美国, 芬兰, 荷兰
Sesquient 美国

影响稳定性的因素   注射液   影响稳定性的因素 : Fosphenytoin sodium        
无数据

  Mentions Légales