Ultimo aggiornamento :
27/11/2025
Antiepilettico   Fosphenytoin sodium  
Iniezione
Stabilità in soluzione Stabilità in miscela Fattori che influenzano la stabilità Compatibilità metodo di iniezione Bibliografia pdf
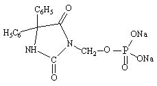
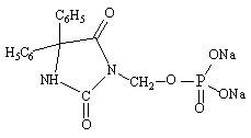
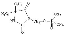
   Struttura chimica  

Nome commerciale   Nome commerciale     

Trade names are indicative and excipients composition can be different depending on the country and manufacturers

Cerebryx Canada, Stati Uniti d’America
Fosphen India
Fostoin Giappone
Pro - Epanutin Austria, Danimarca, Finlandia, Gran Bretagna, Irlanda, Islanda, Lussemburgo, Norvegia, Paesi Bassi, Svezia
Prodilantin Austria, Danimarca, Finlandia, Francia, Giappone, Grecia, Irlanda, Islanda, Paesi Bassi, Polonia, Stati Uniti d’America, Ungheria
Sesquient Stati Uniti d’America

Fattori che influenzano la stabilità   Iniezione   Fattori che influenzano la stabilità : Fosphenytoin sodium        
Assenza di dati

  Mentions Légales