Poslední aktualizace :
18/03/2026
Antiepileptikum   Fosphenytoin sodium  
injekce
Stabilita roztoků Stabilita směsí Faktory ovlivňující stabilitu Kompatibilita Způsoby aplikace Odkazy pdf
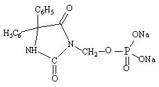
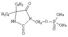
   Chemický vzorec  

Obchodní název   Obchodní název     

Trade names are indicative and excipients composition can be different depending on the country and manufacturers

Cerebryx Kanada, USA
Fosphen Indie
Fostoin Japonsko
Pro - Epanutin Dánsko, Finsko, Irsko, Island, Lucembursko, Nizozemsko, Norsko, Rakousko, Švédsko, Velká Británie
Prodilantin Dánsko, Finsko, Francie, Irsko, Island, Japonsko, MaÔarsko, Nizozemsko, Polsko, Rakousko, USA, ÿecko
Sesquient USA

Faktory ovlivňující stabilitu   injekce   Faktory ovlivňující stabilitu : Fosphenytoin sodium        
žádná data

  Mentions Légales