Останнє оновлення :
18/03/2026
Антибіотик   Amoxicillin sodium / clavulanic acid  
ін'єкція
Розчин для перорального застосування
Стійкість в розчинах Стійкість сумішей Фактори, що впливають на стабільність Сумісність Шлях введення Список літератури pdf
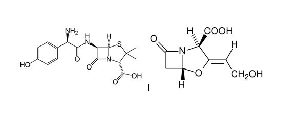
   Хімічна структура  

Торгова назва   Торгова назва     

Торгові назви є орієнтовними, а склад допоміжних речовин може бути різним залежно від країни та виробника

Aktil Угорщина
Amoclan Саудівська Аравія
Amoklavin Туреччина
Amoksiklav Польща
Amoxclav Саудівська Аравія
Amplamox Бразилія
Augmentin Іспанія, Італія, Австрія, Бельгія, Великобританія, Греція, Еквадор, Нідерланди, Об'єднані Арабські Емірати, Польща, Саудівська Аравія, Туреччина, Франція, Чилі, Швейцарія
Betamox Португалія
Clavamox Австрія
Clavicin Венесуела, Малайзія
Clavulin Бразилія
Co-amoxi Швейцарія
Co-Amoxicillin Швейцарія
Curam Нова Зеландія, Саудівська Аравія
Darzitil Аргентина
Dibional Аргентина
Julmentin Об'єднані Арабські Емірати
Novamox Бразилія
Sulbamox Чилі
Tarometin Польща
Trifamox Аргентина, Еквадор, Колумбія, Мексика
Стійкість сумішей   ін'єкція   Стійкість сумішей : Amoxicillin sodium / clavulanic acid     
Контейнер Розчинник Концентрація З'єднання температура Зберігання Тривалість стабільності Список літератури
скло Жодного 12 mg/ml
ін'єкція   Amoxicillin sodium / clavulanic acid   
ін'єкція   Ofloxacin 2 mg/ml
25°C
48 годину
Не визначено 889
Рівень доказовості D

  Mentions Légales