zadnja posodobitev :
18/03/2026
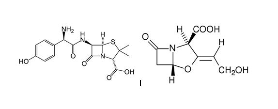
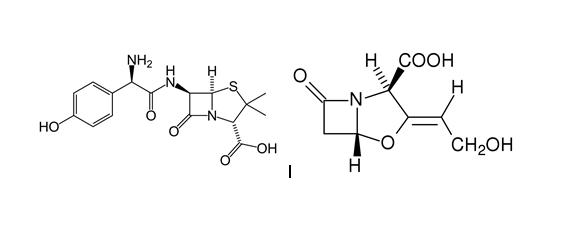
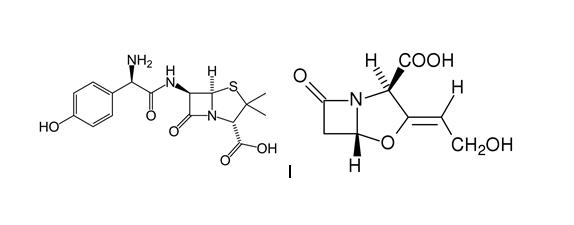
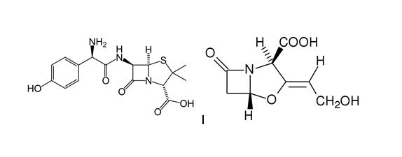
Antibiotik   Amoxicillin sodium / clavulanic acid  
Brizgalka
Peroralna raztopina
Stabilnost raztopine Stabilnost mešanice Faktorji, ki vplivajo na stabilnost Kompatibilnost način aplikacije Viri pdf
   Kemična formula  

Lastniško ime   Lastniško ime     

Sestava pomožnih snovi je med paralelami lahko različna

Aktil Madžarska
Amoclan Savdska Arabija
Amoklavin Turčija
Amoksiklav Poljska
Amoxclav Savdska Arabija
Amplamox Brazilija
Augmentin Avstrija, Belgija, Čile, Ekvador, Francija, Grčija, Italija, Nizozemska, Poljska, Savdska Arabija, Španija, Švica, Turčija, Velika Britanija, Združeni arabski emirati
Betamox Portugalska
Clavamox Avstrija
Clavicin Malezija, Venezuela
Clavulin Brazilija
Co-amoxi Švica
Co-Amoxicillin Švica
Curam nova Zelandija, Savdska Arabija
Darzitil Argentina
Dibional Argentina
Julmentin Združeni arabski emirati
Novamox Brazilija
Sulbamox Čile
Tarometin Poljska
Trifamox Argentina, Ekvador, Kolumbija, Mehika
Stabilnost mešanice   Brizgalka   Stabilnost mešanice : Amoxicillin sodium / clavulanic acid     
Vsebnik Topilo Koncentracija Sestava Temperatura Shranjevanje Trajanje stabilnosti Viri
Steklo Nobeden 12 mg/ml
Brizgalka   Amoxicillin sodium / clavulanic acid   
Brizgalka   Ofloxacin 2 mg/ml
25°C
48 čas
Nedoločeno 889
 Stopnja dokaza D

  Mentions Légales