Last update :
18/03/2026
Antibiotic   Amoxicillin sodium / clavulanic acid  
injection
Oral solution
Stability in solutions Stability of mixtures Factors which affect stability Compatibility Route of administration References pdf
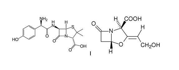
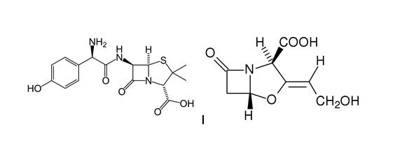
   Chemical structure  

Tradename   Tradename     

Trade names are indicative and excipients composition can be different depending on the country and manufacturers

Aktil Hungary
Amoclan Saudi Arabia
Amoklavin Turkey
Amoksiklav Poland
Amoxclav Saudi Arabia
Amplamox Brazil
Augmentin Austria, Belgium, Chile, Ecuador, France, Great Britain, Greece, Italy, Netherlands, Poland, Saudi Arabia, Spain, Switzerland, Turkey, United Arab Emirates
Betamox Portugal
Clavamox Austria
Clavicin Malaysia, Venezuela
Clavulin Brazil
Co-amoxi Switzerland
Co-Amoxicillin Switzerland
Curam New Zealand, Saudi Arabia
Darzitil Argentina
Dibional Argentina
Julmentin United Arab Emirates
Novamox Brazil
Sulbamox Chile
Tarometin Poland
Trifamox Argentina, Colombia, Ecuador, Mexico
Stability of mixtures   injection   Stability of mixtures : Amoxicillin sodium / clavulanic acid     
Container Solvent Concentration Compound Temperature Storage Duration of stability References
Glass None 12 mg/ml
injection   Amoxicillin sodium / clavulanic acid   
injection   Ofloxacin 2 mg/ml
25°C
48 Hour
Not specified 889
Level of evidence D

  Mentions Légales