Ostatnia aktualizacja :
18/03/2026
Antybiotyk   Amoxicillin sodium / clavulanic acid  
Injekcje
Roztwór doustny
Trwałość roztworów Trwałość w mieszaninie Czynnik wpływający na trwałość Zgodność Sposób podania Bibliografia pdf
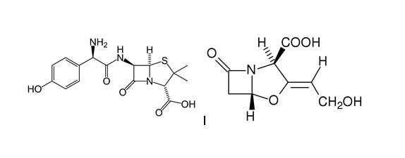
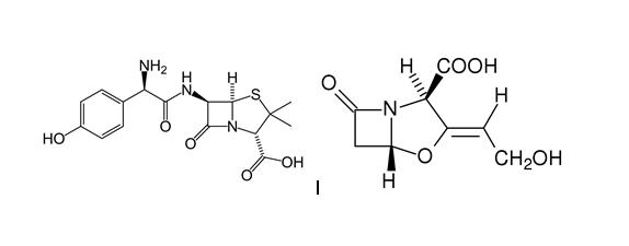
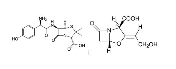
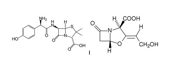
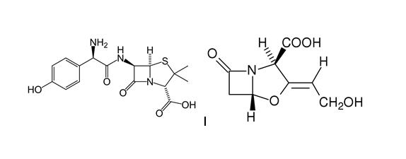
   Struktura chemiczna  

Nazwa handlowa   Nazwa handlowa     

Trade names are indicative and excipients composition can be different depending on the country and manufacturers

Aktil Węgry
Amoclan Arabia Saudyjska
Amoklavin Turcja
Amoksiklav Polska
Amoxclav Arabia Saudyjska
Amplamox Brazylia
Augmentin Arabia Saudyjska, Austria, Belgia, Chile, Ekwador, Francja , Grecja, Hiszpania, Holandia, Polska, Szwajcaria, Turcja, Wielka Brytania, Włochy, Zjednoczone Emiraty Arabskie
Betamox Portugalia
Clavamox Austria
Clavicin Malezja, Wenezuela
Clavulin Brazylia
Co-amoxi Szwajcaria
Co-Amoxicillin Szwajcaria
Curam Arabia Saudyjska, nowa Zelandia
Darzitil Argentyna
Dibional Argentyna
Julmentin Zjednoczone Emiraty Arabskie
Novamox Brazylia
Sulbamox Chile
Tarometin Polska
Trifamox Argentyna, Ekwador, KolumbiaKolumbia, Meksyk
Trwałość w mieszaninie   Injekcje   Trwałość w mieszaninie : Amoxicillin sodium / clavulanic acid     
Pojemnik Rozpuszczalnik Stężenie Związek Temperatura Przechowywanie Czas trwania stabilności Bibliografia
Szkło Żaden 12 mg/ml
Injekcje   Amoxicillin sodium / clavulanic acid   
Injekcje   Ofloxacin 2 mg/ml
25°C
48 Godzina
Nie wyszczególniony 889
Poziom wiarygodności D

  Mentions Légales