Letztes “update” :
18/03/2026
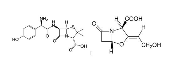
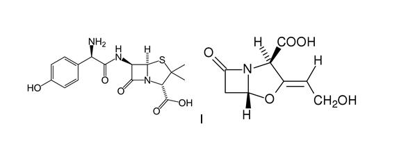
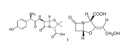
Antibiotikum   Amoxicillin sodium / clavulanic acid  
Injektion
Lösung zum Einnehmen
Stabilität der Lösung Gemengestabilität Stabilitätbeeinflussende Faktoren Kompatibilitäten Applikationsart Literaturverzeichnis pdf
   Chemische Struktur  

Handelsmarke   Handelsmarke     

Handelsnamen sind als beispielhaft anzusehen. Sonstige Bestandteile können je nach Hersteller oder Land verschieden sein

Aktil Ungarn
Amoclan Saudi-Arabien
Amoklavin Türkei
Amoksiklav Polen
Amoxclav Saudi-Arabien
Amplamox Brasilien
Augmentin Belgien, Chile, Ecuador, Frankreich, Griechenland, Großbritannien, Italien, Niederlande, Österreich, Polen, Saudi-Arabien, Schweiz, Spanien, Türkei, Vereinigte Arabische Emirate
Betamox Portugal
Clavamox Österreich
Clavicin Malaysia, Venezuela
Clavulin Brasilien
Co-amoxi Schweiz
Co-Amoxicillin Schweiz
Curam Neuseeland, Saudi-Arabien
Darzitil Argentinien
Dibional Argentinien
Julmentin Vereinigte Arabische Emirate
Novamox Brasilien
Sulbamox Chile
Tarometin Polen
Trifamox Argentinien, Ecuador, Kolumbien, Mexiko
Gemengestabilität   Injektion   Gemengestabilität : Amoxicillin sodium / clavulanic acid     
Behälter Lösungsmittel Konzentration Molekül Temperatur Konservierung Dauer der Stabilität Literaturverzeichnis
Glas Kein 12 mg/ml
Injektion   Amoxicillin sodium / clavulanic acid   
Injektion   Ofloxacin 2 mg/ml
25°C
48 Stunde
Nicht genau angegeben 889
Evidenzgrad D

  Mentions Légales