Cập nhật lần cuối :
17/12/2025
Kháng sinh   Amoxicillin sodium / clavulanic acid  
Dạng tiêm
Dung dịch uống
Tính ổn định của các dung dịch Độ ổn định khi trộn lẫn Những yếu tố ảnh hưởng đến độ ổn định Khả năng tương thích Đường dùng Tài liệu tham khảo Pdf
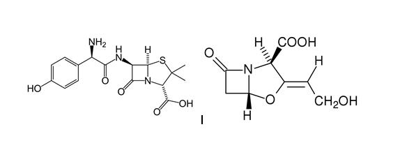
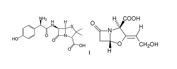
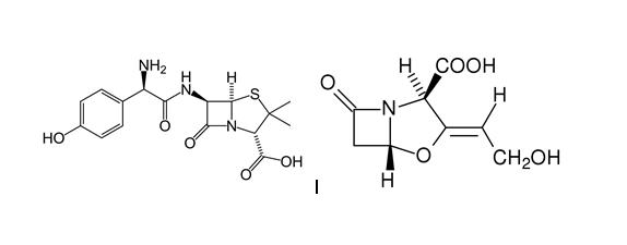
   Cấu trúc hóa học  

Tên thương mại   Tên thương mại     

Các tên thương mại được cung cấp và thành phần tá dược có thể khác nhau giữa các quốc gia và các hãng dược

Aktil Hungary
Amoclan Ả Rập Saudi
Amoklavin Thổ Nhĩ Kỳ
Amoksiklav Ba Lan
Amoxclav Ả Rập Saudi
Amplamox Brazil
Augmentin Ả Rập Saudi, Anh, Áo, Ba Lan, Bỉ, Chile, Ecuador, Hà Lan, Hy Lạp, Pháp, Tây Ban Nha, Thổ Nhĩ Kỳ, Thụy Sỹ, United Arab Emirates, Ý
Betamox Bồ Đào Nha
Clavamox Áo
Clavicin Malaysia, Venezuela
Clavulin Brazil
Co-amoxi Thụy Sỹ
Co-Amoxicillin Thụy Sỹ
Curam Ả Rập Saudi, new zealand
Darzitil Argentina
Dibional Argentina
Julmentin United Arab Emirates
Novamox Brazil
Sulbamox Chile
Tarometin Ba Lan
Trifamox Argentina, Colombia, Ecuador, Mexico
Tài liệu tham khảo   Dạng tiêm   Tài liệu tham khảo : Amoxicillin sodium / clavulanic acid  
Loại Nguồn
186 Tạp chí Swart EL, Mooren RAG, Van Loenen AC.
Compatibility of midazolam hydrochloride and lorazepam with selected drugs during simulated Y-site administration.
Am J Health-Syst Pharm 1995 ; 52: 2020-2022.
889 Tạp chí Janknegt R, Stratermans T, Cilissen J, Lohman JJHM, Hooymans PM.
Ofloxacin intravenous. Compatibility with other antibacterial agents.
Pharm Weekbl [Sci] 1991 ; 13: 207-209.
1318 Tạp chí Ashwin J, Lynn B, Taskis CB.
Stability and administration of intravenous Augmentin.
Pharm J 1987 ; 238: 116-118.
1357 Tạp chí Janknegt R, Schrouff GGM, Hooymans PM, Hermens WJHH, Lohman JJHM.
Quinolones and penicillins incompatibility.
Ann Pharmacotherapy 1989 ; 23: 91-92.
1746 Tạp chí Kambia N, Merite N, Dine T, Dupin-Spriet T, Gressier B, Luyckx M, Watinne C, Brunet C.
Stability studies of amoxicillin/clavulanic acid combinaison in polyolefin infusion bags.
EJHP 2010 ; 16, 30-37.
2139 Tạp chí Serrurier C, Chenot ED, Vigneron J, May I, Demor? B.
Assessment of injectable drug’s administration in two intensive care units and determination of potential physico-chemical incompatibilities.
EJHP Science 2006 ; 12,5: 96-99.
2231 Tạp chí de Jongh R, Hens R, Basma V, mouton JW, Tulkens PM, Carryn S.
Continuous versus intermittent infusion of temocillin, a directed spectrum penicillin for intensive care patients with nosocomial pneumonia: stability, compatibility, population pharmacokinetic studies and breakpoint selection.
J Antimicrob Chemother 2008 ; 61, 2: 382-388.
3520 Thông tin của nhà sản xuất Cidomycin - Summary of product Chracteristics.
Sanofi 2011
3529 Thông tin của nhà sản xuất Ciprofloxacin – Summary of Product Characteristics
Hospira 2013
3545 Thông tin của nhà sản xuất Amoxicilline / acide clavulanique - Résumé des caractéristiques du produit
Mylan SAS 2009
3549 Thông tin của nhà sản xuất Amikacine B Braun - Résumé des caractéristiques du produit.
B Braun 2012
3643 Thông tin của nhà sản xuất Gentamicin sulphate (Cidomycin®) - Summary of Product Characteristics
Sanofi 2015
3674 Thông tin của nhà sản xuất Erythromycin lactobionate - Summary of Product Characteristics
PanPharma 2016
3791 Poster Sadou Yaye H, Burtet E, Hamel C, Aljhni R, Gard C, Tilleul P.
Étude de la compatibilité physico-chimique du phloroglucinol injectable durant les mélanges au sein des tubulures en Y.
Apifh Congress, Paris November 2014 2014
3824 Tạp chí Boudi S, Roy H, Forest JM, Leclair G.
Compatibilité physique de l'association amoxicilline-acide clavulanique en injection avec plusieurs autres médicaments lors d'une administration en Y.
Pharmactuel 2023 2023;56,3:91-98
3948 Tạp chí Bouchoud L, Fonzo-Christe C, Klingm?ller M, Bonnabry P .
Compatibility of Intravenous Medications With Parenteral Nutrition - In Vitro Evaluation.
JPEN 2012 ;30. 416?424.
4470 Tạp chí Claeysoone K, Basma V, Hens R, Van Bambeke F, de Jongh R, Tulkens P.
Continuous versus intermittent infusion of temocillin in intensive care unit patient.
Critical care 2005 ; 9(Suppl 1) P37
4524 Poster Stucki C, Sautter A-M, Bonnabry P.
Physical compatibility of the propofol emulsion with 33 drugs used in anaesthesiology.
ESCP Symposium, Geneva, Switzerland 2009
4654 Poster Sicard G, Donnette M, Martin N, Gensollen S, Pourroy B, Fanciullino R.
Compatibilité visuelle du Vyxeos® lors d'administration en Y avec une sélection de médicaments injectables.
Communication personnelle 2021
4922 Tạp chí Wanandy T, Handley SA, Le TTA, Lau WY, Turner ME, Wiese MD.
Stability of Antibiotics for Use in the Testing of Immediate Drug Allergy Reactions.
J Allergy Clin Immunol Pract 2024 13, 2: 343-352.

  Mentions Légales