آخر تحديث :
17/12/2025
مضاد حيوي   Amoxicillin sodium / clavulanic acid  
حقن
عن طريق الفم
الاستقرار في حلول استقرار مخاليط العوامل التي تؤثر على الاستقرار التوافق طريقة التعاطي مراجع pdf
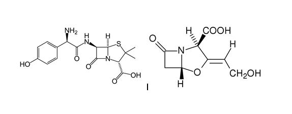
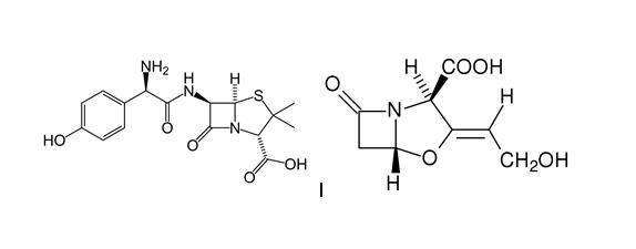
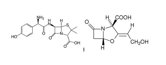
   التركيب الكيميائي  

حجز الاسم التجاري   حجز الاسم التجاري     

تحذير الأسماء التجاريه المختلفه قد تحتوي علي محتوي إضافات مختلفة حسب الدوله و المعمل

Aktil هنغاريا
Amoclan العربية السعودية
Amoklavin تركيا
Amoksiklav بولندا
Amoxclav العربية السعودية
Amplamox البرازيل
Augmentin إسبانيا, إيطاليا, الإكوادور, الإمارات العربية المتحدة, العربية السعودية, النمسا, بريطانيا العظمي, بلجيكا, بولندا, تركيا, تشيلي, سويسرا, فرنسا, هولندا, يونان
Betamox البرتغال
Clavamox النمسا
Clavicin فنزويلا, ماليزيا
Clavulin البرازيل
Co-amoxi سويسرا
Co-Amoxicillin سويسرا
Curam العربية السعودية, زيلاندا الجديدة
Darzitil الأرجنتين
Dibional الأرجنتين
Julmentin الإمارات العربية المتحدة
Novamox البرازيل
Sulbamox تشيلي
Tarometin بولندا
Trifamox الأرجنتين, الإكوادور, المكسيك, كولومبيا
مراجع   حقن   مراجع : Amoxicillin sodium / clavulanic acid  
نوع منشور
186 مجلة Swart EL, Mooren RAG, Van Loenen AC.
Compatibility of midazolam hydrochloride and lorazepam with selected drugs during simulated Y-site administration.
Am J Health-Syst Pharm 1995 ; 52: 2020-2022.
889 مجلة Janknegt R, Stratermans T, Cilissen J, Lohman JJHM, Hooymans PM.
Ofloxacin intravenous. Compatibility with other antibacterial agents.
Pharm Weekbl [Sci] 1991 ; 13: 207-209.
1318 مجلة Ashwin J, Lynn B, Taskis CB.
Stability and administration of intravenous Augmentin.
Pharm J 1987 ; 238: 116-118.
1357 مجلة Janknegt R, Schrouff GGM, Hooymans PM, Hermens WJHH, Lohman JJHM.
Quinolones and penicillins incompatibility.
Ann Pharmacotherapy 1989 ; 23: 91-92.
1746 مجلة Kambia N, Merite N, Dine T, Dupin-Spriet T, Gressier B, Luyckx M, Watinne C, Brunet C.
Stability studies of amoxicillin/clavulanic acid combinaison in polyolefin infusion bags.
EJHP 2010 ; 16, 30-37.
2139 مجلة Serrurier C, Chenot ED, Vigneron J, May I, Demor? B.
Assessment of injectable drug’s administration in two intensive care units and determination of potential physico-chemical incompatibilities.
EJHP Science 2006 ; 12,5: 96-99.
2231 مجلة de Jongh R, Hens R, Basma V, mouton JW, Tulkens PM, Carryn S.
Continuous versus intermittent infusion of temocillin, a directed spectrum penicillin for intensive care patients with nosocomial pneumonia: stability, compatibility, population pharmacokinetic studies and breakpoint selection.
J Antimicrob Chemother 2008 ; 61, 2: 382-388.
3520 مختبر Cidomycin - Summary of product Chracteristics.
Sanofi 2011
3529 مختبر Ciprofloxacin – Summary of Product Characteristics
Hospira 2013
3545 مختبر Amoxicilline / acide clavulanique - Résumé des caractéristiques du produit
Mylan SAS 2009
3549 مختبر Amikacine B Braun - Résumé des caractéristiques du produit.
B Braun 2012
3643 مختبر Gentamicin sulphate (Cidomycin®) - Summary of Product Characteristics
Sanofi 2015
3674 مختبر Erythromycin lactobionate - Summary of Product Characteristics
PanPharma 2016
3791 الملصق Sadou Yaye H, Burtet E, Hamel C, Aljhni R, Gard C, Tilleul P.
Étude de la compatibilité physico-chimique du phloroglucinol injectable durant les mélanges au sein des tubulures en Y.
Apifh Congress, Paris November 2014 2014
3824 مجلة Boudi S, Roy H, Forest JM, Leclair G.
Compatibilité physique de l'association amoxicilline-acide clavulanique en injection avec plusieurs autres médicaments lors d'une administration en Y.
Pharmactuel 2023 2023;56,3:91-98
3948 مجلة Bouchoud L, Fonzo-Christe C, Klingm?ller M, Bonnabry P .
Compatibility of Intravenous Medications With Parenteral Nutrition - In Vitro Evaluation.
JPEN 2012 ;30. 416?424.
4470 مجلة Claeysoone K, Basma V, Hens R, Van Bambeke F, de Jongh R, Tulkens P.
Continuous versus intermittent infusion of temocillin in intensive care unit patient.
Critical care 2005 ; 9(Suppl 1) P37
4524 الملصق Stucki C, Sautter A-M, Bonnabry P.
Physical compatibility of the propofol emulsion with 33 drugs used in anaesthesiology.
ESCP Symposium, Geneva, Switzerland 2009
4654 الملصق Sicard G, Donnette M, Martin N, Gensollen S, Pourroy B, Fanciullino R.
Compatibilité visuelle du Vyxeos® lors d'administration en Y avec une sélection de médicaments injectables.
Communication personnelle 2021
4922 مجلة Wanandy T, Handley SA, Le TTA, Lau WY, Turner ME, Wiese MD.
Stability of Antibiotics for Use in the Testing of Immediate Drug Allergy Reactions.
J Allergy Clin Immunol Pract 2024 13, 2: 343-352.

  Mentions Légales