Останнє оновлення :
17/12/2025
Антибіотик   Amoxicillin sodium / clavulanic acid  
ін'єкція
Розчин для перорального застосування
Стійкість в розчинах Стійкість сумішей Фактори, що впливають на стабільність Сумісність Шлях введення Список літератури pdf
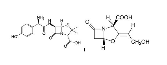
   Хімічна структура  

Торгова назва   Торгова назва     

Торгові назви є орієнтовними, а склад допоміжних речовин може бути різним залежно від країни та виробника

Aktil Угорщина
Amoclan Саудівська Аравія
Amoklavin Туреччина
Amoksiklav Польща
Amoxclav Саудівська Аравія
Amplamox Бразилія
Augmentin Іспанія, Італія, Австрія, Бельгія, Великобританія, Греція, Еквадор, Нідерланди, Об'єднані Арабські Емірати, Польща, Саудівська Аравія, Туреччина, Франція, Чилі, Швейцарія
Betamox Португалія
Clavamox Австрія
Clavicin Венесуела, Малайзія
Clavulin Бразилія
Co-amoxi Швейцарія
Co-Amoxicillin Швейцарія
Curam Нова Зеландія, Саудівська Аравія
Darzitil Аргентина
Dibional Аргентина
Julmentin Об'єднані Арабські Емірати
Novamox Бразилія
Sulbamox Чилі
Tarometin Польща
Trifamox Аргентина, Еквадор, Колумбія, Мексика
Список літератури   ін'єкція   Список літератури : Amoxicillin sodium / clavulanic acid  
Тип Публікація
186 журнал Swart EL, Mooren RAG, Van Loenen AC.
Compatibility of midazolam hydrochloride and lorazepam with selected drugs during simulated Y-site administration.
Am J Health-Syst Pharm 1995 ; 52: 2020-2022.
889 журнал Janknegt R, Stratermans T, Cilissen J, Lohman JJHM, Hooymans PM.
Ofloxacin intravenous. Compatibility with other antibacterial agents.
Pharm Weekbl [Sci] 1991 ; 13: 207-209.
1318 журнал Ashwin J, Lynn B, Taskis CB.
Stability and administration of intravenous Augmentin.
Pharm J 1987 ; 238: 116-118.
1357 журнал Janknegt R, Schrouff GGM, Hooymans PM, Hermens WJHH, Lohman JJHM.
Quinolones and penicillins incompatibility.
Ann Pharmacotherapy 1989 ; 23: 91-92.
1746 журнал Kambia N, Merite N, Dine T, Dupin-Spriet T, Gressier B, Luyckx M, Watinne C, Brunet C.
Stability studies of amoxicillin/clavulanic acid combinaison in polyolefin infusion bags.
EJHP 2010 ; 16, 30-37.
2139 журнал Serrurier C, Chenot ED, Vigneron J, May I, Demor? B.
Assessment of injectable drug’s administration in two intensive care units and determination of potential physico-chemical incompatibilities.
EJHP Science 2006 ; 12,5: 96-99.
2231 журнал de Jongh R, Hens R, Basma V, mouton JW, Tulkens PM, Carryn S.
Continuous versus intermittent infusion of temocillin, a directed spectrum penicillin for intensive care patients with nosocomial pneumonia: stability, compatibility, population pharmacokinetic studies and breakpoint selection.
J Antimicrob Chemother 2008 ; 61, 2: 382-388.
3520 Виробник Cidomycin - Summary of product Chracteristics.
Sanofi 2011
3529 Виробник Ciprofloxacin – Summary of Product Characteristics
Hospira 2013
3545 Виробник Amoxicilline / acide clavulanique - Résumé des caractéristiques du produit
Mylan SAS 2009
3549 Виробник Amikacine B Braun - Résumé des caractéristiques du produit.
B Braun 2012
3643 Виробник Gentamicin sulphate (Cidomycin®) - Summary of Product Characteristics
Sanofi 2015
3674 Виробник Erythromycin lactobionate - Summary of Product Characteristics
PanPharma 2016
3791 Плакат Sadou Yaye H, Burtet E, Hamel C, Aljhni R, Gard C, Tilleul P.
Étude de la compatibilité physico-chimique du phloroglucinol injectable durant les mélanges au sein des tubulures en Y.
Apifh Congress, Paris November 2014 2014
3824 журнал Boudi S, Roy H, Forest JM, Leclair G.
Compatibilité physique de l'association amoxicilline-acide clavulanique en injection avec plusieurs autres médicaments lors d'une administration en Y.
Pharmactuel 2023 2023;56,3:91-98
3948 журнал Bouchoud L, Fonzo-Christe C, Klingm?ller M, Bonnabry P .
Compatibility of Intravenous Medications With Parenteral Nutrition - In Vitro Evaluation.
JPEN 2012 ;30. 416?424.
4470 журнал Claeysoone K, Basma V, Hens R, Van Bambeke F, de Jongh R, Tulkens P.
Continuous versus intermittent infusion of temocillin in intensive care unit patient.
Critical care 2005 ; 9(Suppl 1) P37
4524 Плакат Stucki C, Sautter A-M, Bonnabry P.
Physical compatibility of the propofol emulsion with 33 drugs used in anaesthesiology.
ESCP Symposium, Geneva, Switzerland 2009
4654 Плакат Sicard G, Donnette M, Martin N, Gensollen S, Pourroy B, Fanciullino R.
Compatibilité visuelle du Vyxeos® lors d'administration en Y avec une sélection de médicaments injectables.
Communication personnelle 2021
4922 журнал Wanandy T, Handley SA, Le TTA, Lau WY, Turner ME, Wiese MD.
Stability of Antibiotics for Use in the Testing of Immediate Drug Allergy Reactions.
J Allergy Clin Immunol Pract 2024 13, 2: 343-352.

  Mentions Légales